Ведомственные нормы технологического
проектирования общетоварных складов ВНТП 02-85
Приложения
Содержание
1. Общие положения.
2. Технологическая часть и механизация складских работ.
3. Оборудование общетоварных складов.
4. Определение численности работников склада
5. Опорный пункт автоматизированной системы управления (ОП АСУ)
6. Ремонтная служба
7. Требования к строительной части
8. Требования к водопроводу и канализации
9. Требования к отоплению и вентиляции
10. Требования к электротехническим установкам
11. Требования к системам автоматизации и контроля
12. Требования к устройствам связи и сигнализации
13. Противопожарные мероприятия
14. Перечень технико-экономических показателей проектов общетоварных складов
Приложение 1. Рекомендуемое. Схема технологического процесса на общетоварных
складах по группам операций.
Приложение 2. Справочное. Объемный вес товаров, хранящихся на общетоварных
складах.
Приложение 3. Рекомендуемое. Соотношение элементов складской площади в
общетоварных складах.
Приложение 4.
Рекомендуемое. Усредненное соотношение отапливаемых и охлаждаемых площадей в
общетоварных складах для продовольственных товаров.
Приложение 5. Справочное.
Характеристика специализированного автотранспорта и длина
погрузочно-разгрузочного фронта платформы.
Приложение 6. Справочное.
Основные типы контейнеров и тары-оборудования.
Приложение 7. Справочное.
Примерная схема устройства контейнерной площадки со стороны автоплатформы.
Приложение 8. Справочное.
Примерная схема устройства объединенной (авто и железнодорожной) контейнерной
площадки.
Приложение 9. Справочное.
Перечень и краткая характеристика основного оборудования для транспортных и
грузоподъемных работ.
Приложение 10.
Справочное. Основные параметры кранов-штабелеров опорных, управляемых с пола.
Приложение 11.
Справочное. Перечень и краткая характеристика стеллажных кранов-штабелеров.
Приложение 12.
Рекомендуемое. Применяемые типы поддонов и тары-оборудования.
Приложение 13.
Справочное. Габаритные размеры бракеражных столов.
Приложение 14.
Справочное. Перечень и краткая характеристика оборудования для уборки полов.
Приложение 15.
Справочное. Основные типы технических средств ОП АСУ и площадь для их установки.
Приложение 16.
Справочное. Примерный состав оборудования.
Приложение 17.
Справочное. Примерные площадь и штаты ремонтных мастерских.
Приложение 18.
Обязательное. Перечень товаров и веществ, совместное хранение которых не
допускается.
Приложение 19.
Обязательное. Перечень помещений, подлежащих оборудованию установками
автоматического пожаротушения.
Приложение 20.
Рекомендуемое. Пример расчета численности складского персонала, занятого на
погрузочно-разгрузочных и транспортно-складских работах склада для
непродовольственных товаров.
Приложение 21.
Справочное. Примерный штат зарядной.
Приложение 22.
Рекомендуемое. Методика определения технико-экономических показателей проектов
общетоварных складов.
Приложение 23.
Обязательное. Расчет потребности в подъемно-транспортном оборудовании.
Приложение 24.
Обязательное. Значение коэффициента одновременности работы воздушно-тепловых
завес.
Приложение 4
Рекомендуемое
УСРЕДНЕННОЕ СООТНОШЕНИЕ ОТАПЛИВАЕМЫХ И
ОХЛАЖДАЕМЫХ ПЛОЩАДЕЙ В ОБЩЕТОВАРНЫХ СКЛАДАХ ДЛЯ ПРОДОВОЛЬСТВЕННЫХ ТОВАРОВ
(м2)
|
Складская площадь |
Соотношение отапливаемой и охлаждаемой площади |
|
|
Площадь секций хранения и комплектовочных |
Площадь экспедиций |
|
|
70-80% |
20-15% |
10-5% |
|
|
отапливаемая |
охлаждаемая |
|
|
2500 |
1750-2000 |
500-375 |
250-125 |
|
5000 |
3500-4000 |
1000-750 |
500-250 |
|
10000 |
7000-8000 |
2000-1500 |
1000-500 |
|
15000 |
10500-12000 |
3000-2250 |
1500-750 |
|
25000 |
17500-20000 |
5000-3750 |
2500-1250 |
Приложение 5
Справочное
ХАРАКТЕРИСТИКА СПЕЦИАЛИЗИРОВАННОГО
АВТОТРАНСПОРТА И ДЛИНА ПОГРУЗОЧНО-РАЗГРУЗОЧНОГО ФРОНТА ПЛАТФОРМЫ
|
Наименование машин |
Марка тип |
Назначение |
Грузо-подъемность, кгс |
Габариты, мм |
Длина погрузочно- разгрузочного фронта платформы, м |
|
|
|
|
|
полная длина |
ширина |
высота |
с бокового борта |
с заднего борта |
|
1 |
2 |
3 |
4 |
5 |
6 |
7 |
8 |
9 |
|
Автомобиль- фургон
|
УАЗ-452 |
Для перевозки продовольственных и непродовольственных
товаров |
800 |
4360 |
1940 |
2086 |
7,3 |
4,5 |
|
Автомобиль- фургон |
ЕрАЗ-762А |
То же |
1000 |
5030 |
1790 |
2180 |
8 |
- |
|
Автомобиль- рефрижератор |
1АЧ |
Для перевозки скоропортящихся продуктов |
1500 |
6456 |
2160 |
3110 |
- |
4,5 |
|
Автомобиль- фургон |
ГЗСА 893А |
Для перевозки мебели |
2000 |
6460 |
2500 |
3460 |
- |
4,5 |
|
Автомобиль- фургон |
ГЗСА 891 |
Для перевозки продовольственных и непродовольственных
товаров |
2000 |
6460 |
2500 |
3120 |
- |
4,5 |
|
Автомобиль- рефрижератор |
ЛуАЗ 890Б |
Для перевозки скоропортящихся продуктов |
3500 |
7090 |
2360 |
3280 |
- |
4,5 |
|
Автомобиль- фургон |
ГЗСА 950 |
Для перевозки скоропортящихся товаров |
3250 |
6450 |
2500 |
3290 |
- |
4,5 |
|
Автомобиль- фургон с грузоподъемным бортом |
ГЗСА 3721 |
Для перевозки всех видов товаров в таре-оборудовании |
3000* |
6450 |
2500 |
3250 |
- |
4,5 |
|
Автомобиль- фургон |
КамАЗ 5320 |
Для перевозки продовольственных и непродовольственных
товаров |
8000 |
7395 |
2496 |
3370 |
- |
4,5 |
|
Автомобиль- фургон |
МA3 516Б |
Для перевозки продовольственных и непродовольственных
товаров |
14500 |
8520 |
2500 |
3400 |
- |
4,5 |
|
Полуприцеп фургон |
ОдАЗ 9771 |
Для перевозки автомобильных деталей и других товаров |
12000 |
9450 |
2500 |
3700 |
- |
4,5 |
_________________
* грузоподъемность борта - 1000 кГс
Приложение 6
Справочное
ОСНОВНЫЕ ТИПЫ КОНТЕЙНЕРОВ И
ТАРЫ-ОБОРУДОВАНИЯ
|
Наименование |
ГОСТ |
Назначение |
Максимальная масса брутто, кг |
Габаритные размеры, мм |
|
|
|
|
|
длина |
ширина |
высота |
|
1 |
2 |
3 |
4 |
5 |
6 |
7 |
|
Контейнер среднетоннажный |
ГОСТ 18477-79
УУК-3 |
Универсальный |
2500 (3000) |
2100 |
1325 |
2400 |
|
|
ГОСТ 18477-79
УУК-5 |
Универсальный |
5000 |
2100 |
2650 |
2400 |
|
Контейнер
крупнотоннажный |
1Д
ГОСТ 18477-79 |
Универсальный |
10000 |
2991 |
2438 |
2438 |
|
|
1C
ГОСТ 18477-79 |
Универсальный |
20000 |
6058 |
2438 |
2438 |
|
|
1А
ГОСТ 18477-79 |
Универсальный |
30000 |
12192 |
2438 |
2438 |
|
Тара-оборудование |
ШТП-1
УКТ-2
ГОСТ 24831-81
|
Для перевозки штучных товаров без упаковки или в
облегченной упаковке |
500 |
840 |
640 |
1640 |
|
|
РУСТ 8/6-101
ГОСТ 24831-81
|
То же |
275 |
840 |
620 |
675 |
|
|
РУСТ 12/8-101
ГОСТ 24831-81 |
То же |
565 |
1240 |
840 |
950 |
Приложение 7
Справочное
ПРИМЕРНАЯ СХЕМА УСТРОЙСТВА КОНТЕЙНЕРНОЙ
ПЛОЩАДКИ СО СТОРОНЫ АВТОПЛАТФОРМЫ

Приложение 8
Справочное
ПРИМЕРНАЯ СХЕМА УСТРОЙСТВА ОБЪЕДИНЕННОЙ
(АВТО И ЖЕЛЕЗНОДОРОЖНОЙ) КОНТЕЙНЕРНОЙ ПЛОЩАДКИ

Приложение 9
Справочное
Перечень и краткая характеристика
основного оборудования для транспортных и грузоподъемных работ
|
Наименование оборудования |
Грузоподъемность, ТС |
Марка тип |
Высота подъема вил, мм |
Габариты, мм |
Минимальная ширина межстеллажного прохода, мм |
Масса, кг |
|
|
|
|
|
длина |
ширина |
высота |
|
|
|
1
|
2 |
3 |
4 |
5 |
6 |
7 |
8 |
9 |
|
Электропогрузчики |
0,8 |
ЭП-0806и |
4500 |
2292 |
985 |
2060 |
2480 |
2070 |
|
|
0,63 |
EB-612-3 |
2900 |
1325 |
860 |
1900 |
2325 |
1540 |
|
|
0,8 |
ЭП-0806 |
3000 |
2207 |
985 |
1960 |
2410 |
1750 |
|
. |
1 |
ЭП-103 |
2800 |
2600 |
950 |
2000 |
2950 |
2300 |
|
|
1 |
ЕВ-687 |
4500 |
2760 |
940 |
1950 |
2930 |
2600 |
|
|
2 |
ЭП-201 |
2800 |
3150 |
1350 |
2110 |
3800 |
3700 |
|
|
1,25 |
ЭПВ-1,25 |
2750 |
2010 |
1030 |
2100 |
3464 |
3000 |
|
|
|
|
1500 |
|
|
1480 |
|
3040 |
|
Электроштабелеры |
0,5 |
ЭШ-188 |
4500 |
2775 |
1390 |
2090 |
1400 |
2250 |
|
|
1 |
ЕВ-418, 454 |
4500 |
2680 |
1210 |
2200 |
2200 |
2150 |
|
Электротележки |
1,25 |
ЕH-137,4 |
125 |
2060 |
675 |
1480 |
- |
630 |
|
|
5 |
ЕH-161 |
125 |
3250 |
1490 |
1600 |
- |
3150 |
|
|
1 |
ЕН-136,2 |
125 |
1910 |
675 |
1480 |
- |
600 |
|
Электротягачи |
Тяговое усилие 0,25 |
ЕТ-512 |
- |
2450 |
1220 |
1620 |
- |
1750 |
|
Тележки с
подъемной платформой (и вилами) |
0,5 |
ТГВ-500М |
205 |
1635 |
560 |
1365 |
- |
77 |
|
|
1 |
ТГВ-1250 |
205 |
1655 |
560 |
1365 |
- |
106 |
|
Автопогрузчики |
3,2 |
4043М |
4000 |
4650 |
2100 |
3200 |
- |
4780 |
|
|
5 |
4049М |
70000 с подъемной стрелой |
6915 |
2510 |
3620 |
- |
9450 |
|
Краны
электрические |
1 |
ГОСТ 7890-73 |
6;12 |
Пролеты от 3 до 24 м |
|
500 |
|
|
10 |
нормали ВНИИПТмаш и заводов- изготовителей |
подъем груза |
|
|
|
|
|
|
Электротали (тельферы) |
0,5 |
ТЭ-0,5 |
- |
- |
- |
- |
- |
75 |
|
|
5 |
ТЭ-5 |
- |
- |
- |
- |
- |
750 |
|
Транспортеры ленточные пластинчатые специальные (для штучных товаров)
|
50 т/ч |
КШГ |
- |
15000 |
710 |
600 |
- |
680 |
|
Конвейер
ленточный с переменным углом наклона складывающийся |
50 т/ч |
КНЛПС-4 |
- |
4200 |
700 |
1025 |
- |
380 |
|
Передвижной наклонный конвейер |
50 т/ч |
КНЛП-5 |
- |
5500 |
800 |
740 |
- |
490 |
|
Роликовые
(дисковые) дорожки прямолинейные, криволинейные, неприводные (для штучных
грузов) |
0,25 |
РДА63 |
- |
- |
- |
- |
- |
- |
|
Уравнительные площадки |
3 |
ПУС-300 |
- |
2370 |
1544 |
800 |
- |
550 |
|
Подъемник
наклонный |
0,2 |
ПН- 200 |
- |
- |
- |
- |
- |
- |
|
Тележки
грузовые несамоходные |
до 1 |
ТГ-250 |
- |
до 1700 |
до 1000 |
700-860 |
- |
до 160 |
|
|
|
ТГ-500 |
|
|
|
|
|
|
|
|
|
ТГ-1000М |
|
|
|
|
|
|
|
Примечания: 1. Приложение является
ориентировочным для выбора оборудования. При проектировании марки и
параметры механизмов подлежат уточнению по паспортам на оборудование, а
также по каталогам и другим справочным материалам. |
|
2. Использование автопогрузчиков
допустимо только для наружных работ (двор, платформа). |
|
3. Аккумуляторные электропогрузчики
типа "ЕВ", тягачи типа "ЕТ" и тележки типа "ЕН" изготавливаются Болгарской
фирмой "Балканкар". |
|
4. Болгарское оборудование, а также
штабелеры типа ЭШ-188 комплектуется свинцово-кислотными аккумуляторными
батареями, остальные механизмы - щелочными. |
Приложение 10
Справочное
Основные параметры кранов-штабелеров
опорных, управляемых с пола
|
|
Параметры
|
|
Грузоподъемность, т |
0,25 |
0,5 |
1 |
|
Пролет, т |
5,1; 8,1; 11,1 |
5,1; 8,1; 11,1 |
5,1; 8,1; 11,1 |
|
Высота подъема груза, м |
4 |
4 |
4 |
|
Размеры груза, мм |
|
|
|
|
длина |
800 |
1200 |
1200 |
|
ширина |
600 |
800 |
800 |
|
Ширина прохода, мм |
|
|
|
|
без разворота груза |
1030 |
1250 |
1280 |
|
для разворота груза |
1530 |
2150 |
2165 |
|
Скорость м/мин |
|
|
|
|
подъема груза |
8 |
8 |
8 |
|
передвижения моста |
36/10 |
36/10 |
36/10 |
|
тележки |
12 |
12 |
12 |
|
Расстояние от головки рельса до уровня
пола, мм |
4750 |
4800 |
4800 |
|
Установленная мощность
электродвигателей, кВт |
1,36 |
1,36 |
1,36 |
--------------------------
Примечание: Приложение является ориентировочным. При
проектировании параметры механизмов подлежат уточнению по паспортам на
оборудование, выпускаемым заводами ВПО "Союзподъемтрансмаш".
Приложение 11
Справочное
ПЕРЕЧЕНЬ И КРАТКАЯ ХАРАКТЕРИСТИКА
СТЕЛЛАЖНЫХ КРАНОВ-ШТАБЕЛЕРОВ
|
Организация-разработчик или тип оборудования |
Грузо-подъем-ность, ТС |
Высота подъема вил, м |
Способ управления |
Длина моста, м |
Длина вил, м |
Ширина рабочего хода без разворота, м |
Высота помещения до выступающих конструкций, м |
|
1
|
2 |
3 |
4 |
5 |
6 |
7 |
8 |
|
СКБС
ГУПТмаш |
0,5 |
до 10,5 |
из кабины ручное |
- |
- |
1 |
до 12,6 |
|
ВНИИТОРГмаш комплекс оборудования склада автоматизированного штучных
товаров |
0,5 |
4,5-19 |
автоматич. с перфокартами |
- |
- |
1 |
6-21 |
|
ВНИИТОРГмаш склад механизированный комплектовочный |
0,5 |
4,5 |
автоматич. или ручное из кабины |
- |
- |
1 |
6 |
|
ВНИИТОРГмаш склад механизированный комплектовочный с трансбордерным
устройством |
0,5 |
4,5 |
" |
- |
- |
1 |
6 |
|
ВНИИТОРГмаш склад автоматизированный для кипных грузов |
0,1 |
4,5 |
автоматич. с перфо-картами |
- |
- |
1 |
6 |
|
Примечание: Приложение является ориентировочным для выбора оборудования.
При проектировании марки и параметры механизмов подлежат уточнению по
паспортам на оборудование, а также по каталогам и другим справочным
материалам. |
Приложение 12
Рекомендуемое
ПРИМЕНЯЕМЫЕ ТИПЫ ПОДДОНОВ И
ТАРЫ-ОБОРУДОВАНИЯ
|
N
п/п |
Наименование поддонов контейнеров |
Размеры, мм |
Вид тары |
|
1
|
Поддоны
плоские
ГОСТ 9078-84 |
800x1200 |
Ящики,
мешки, коробки, тюки, кипы, бочки |
|
2
|
Поддоны
ящичные
ГОСТ 9570-73 |
840х1240 |
Коробки,
связки, пачки, мелкоштучные упаковки |
|
3 |
Поддоны
стоечные
ГОСТ 9570-73 |
840x1240 |
Мягкие
упаковки, разновеликая тара |
|
4
|
Тара-оборудование
ТОК
ГОСТ 24831-81 |
620x840x1600
620x840x1350 |
Первичная
промышленная упаковка и без упаковки |
|
5
|
Тара-оборудование
ТОС
ГОСТ 24831-81 |
620x840x725 |
|
|
6
|
Тара-оборудование РУСТ
12х8-101
ГОСТ 24831-81 |
840x1240x950 |
То же
|
|
7
|
Поддоны
для готового платья |
840x1240x1750
840x1240x1250 |
Готовое
платье в подвешенном виде (согласно
ГОСТ 9078-74 поддоны деревянные огнезащитной пропитке не подвергаются) |
Приложение 13
Справочное
ГАБАРИТНЫЕ РАЗМЕРЫ БРАКЕРАЖНЫХ СТОЛОВ
|
Наименование |
Размеры, мм |
|
|
длина |
ширина |
высота |
|
Столы для проверки: |
|
|
|
|
обуви |
1400 |
750 |
850 |
|
галантереи |
1600 |
900 |
850 |
|
трикотажа и швейных товаров |
1800 |
1200 |
850 |
|
текстиля |
3000 |
1600 |
850 |
|
культтоваров и хозтоваров |
2000 |
1250 |
850 |
|
ковров и ковровых изделий |
4000 |
3000 |
650 |
Приложение 14
Справочное
ПЕРЕЧЕНЬ И КРАТКАЯ ХАРАКТЕРИСТИКА
ОБОРУДОВАНИЯ ДЛЯ УБОРКИ ПОЛОВ
|
Наименование оборудования |
Производительность, м2/час |
Габаритные размеры, мм |
Масса, кг |
|
|
|
длина |
ширина |
высота |
|
|
Машина для ухода за полами щеточная |
700 |
1000 |
685 |
1065 |
85 |
|
Машина подметальная пылесосная |
2700 |
1840 |
810 |
1010 |
60 |
|
Машина вакуумная
подметально-пылесосная |
1200 |
1240 |
620 |
980 |
65 |
Приложение 15
Справочное
ОСНОВНЫЕ ТИПЫ ТЕХНИЧЕСКИХ СРЕДСТВ ОП
АСУ И ПЛОЩАДЬ ДЛЯ ИХ УСТАНОВКИ
|
Тип технического средства
|
Назначение |
Площадь для установки оборудования, м2
|
|
Электронная клавишная вычислительная машина (ЭКВМ) |
Для
выполнения операций суммирования, вычитания, складирования, таксировки,
исчисления процентов и прочих расчетных операций |
4,5
|
|
Электронная бухгалтерская машина (ЭВМ) |
Для
механизированного и автоматизированного решения широкого круга
бухгалтерских, плановых, учетно-статических и других экономических задач с
одновременным формированием многострочных и многографных документов
различной сложности. Дисплей обеспечивает эффективное взаимодействие
пользователя с машиной как в процессе обработки данных, так и при отладке
программ |
8 и более
(в зависимости от исполнения и конфигурации ЭВМ) |
|
Видеотерминальное устройство (ВТУ) |
Обеспечивает эффективное взаимодействие пользователя, специалиста
автоматизированного рабочего места, с вычислительным комплексом в процессе
обработки данных, дает возможность обращения к единому информационному
ресурсу системы |
4,5
|
|
Устройство
подготовки данных (УПД) |
Для записи
информации первичных документов на машинный носитель
|
7 и более
(в зависимости от типа УПД) |
|
Вычислительный комплекс (ВК) |
Для
создания многих систем, в том числе системы сбора, подготовки, обработки
данных и управления производством |
15 и более
(в зависимости от типа и конфигурации ВК) |
|
Примечание.
При
определении КТС следует руководствоваться ежегодным изданием Госснаба СССР
"Перечень средств вычислительной техники, телемеханики, оргтехники,
носителей информации и запасных частей номенклатуры Союзглавприбора и
изданием В/О "Союзторгсистема" Министерства торговли СССР "Номенклатура
технических средств, рекомендуемых для использования в АСУ торговлей".
|
Приложение 16
Справочное
ПРИМЕРНЫЙ СОСТАВ ОБОРУДОВАНИЯ
1. Механическая мастерская
|
N пп |
Наименование типов оборудования |
Складская площадь, м2 |
|
|
|
2500 |
5000 |
10000 |
15000 |
25000 |
50000
|
|
|
|
Количество единиц оборудования
|
|
1 |
2 |
3 |
4 |
5 |
6 |
7
|
8 |
|
1. |
Токарно-винторезный станок |
1 |
1 |
1 |
1 |
2 |
2 |
|
2. |
Универсально-фрезерный станок |
- |
1 |
1 |
1 |
1 |
1 |
|
3. |
Поперечно-строгальный станок |
- |
- |
- |
- |
- |
1 |
|
4. |
Вертикально-сверлильный станок |
1 |
1 |
1 |
1 |
1 |
1 |
|
5. |
Настольно-сверлильный станок |
1 |
1 |
1 |
1 |
1 |
2 |
|
6. |
Точильно-шлифовальный станок |
1 |
1 |
1 |
1 |
1 |
2 |
|
7. |
Пресс
гидравлический |
- |
- |
1 |
1 |
1 |
1 |
|
8. |
Отрезной
ножовочный станок |
- |
- |
1 |
1 |
1 |
1 |
|
9. |
Ножницы
электрические |
- |
- |
1 |
1 |
1 |
1 |
|
10. |
Кран
подвесной однобалочный |
1 |
1 |
1 |
1 |
1 |
1 |
|
11. |
Верстак
слесарный |
2 |
3 |
4 |
5 |
6 |
8 |
|
12. |
Сварочный
трансформатор |
- |
1 |
1 |
1 |
1 |
1 |
|
13. |
Стол для
сварочных работ |
- |
1 |
1 |
1 |
1 |
1 |
2. Столярная мастерская
|
N п/п |
Наименование типов оборудования |
Складская площадь, м2 |
|
|
|
5000 |
10000 |
15000 |
25000 |
50000
|
|
|
|
Количество единиц оборудования
|
|
1 |
2 |
3 |
4 |
5 |
6 |
7 |
|
1
|
Станок
универсальный круглопильный |
1 |
1 |
- |
- |
- |
|
2
|
Станок
диленно-реечный |
- |
- |
1 |
1 |
1 |
|
3
|
Станок
торцовочный шарнирно-маятниковый |
- |
- |
1 |
1 |
1 |
|
4
|
Станок
фуговальный |
1 |
1 |
1 |
1 |
1 |
|
5
|
Станок
универсальный (комбинированный) |
- |
- |
- |
- |
1 |
|
6
|
Станок
сверлильно-пазовальный |
- |
- |
- |
1 |
1 |
|
7
|
Универсальный заточный станок |
- |
1 |
1 |
1 |
1 |
|
8
|
Электроточило |
1 |
1 |
1 |
1 |
1 |
|
9
|
Верстак
столярный |
1 |
2 |
3 |
3 |
5 |
Приложение 17
Справочное
ПРИМЕРНЫЕ ПЛОЩАДЬ И ШТАТЫ РЕМОНТНЫХ
МАСТЕРСКИХ
|
|
Складская площадь, м2 |
|
|
2500 |
5000 |
10000 |
1500* |
25000 |
50000 |
|
|
площадь,
м2 |
штат
чел., |
площадь,
м2 |
штат
чел., |
площадь,
м2 |
штат
чел., |
площадь,
м2 |
штат
чел., |
площадь,
м2 |
штат
чел., |
площадь,
м2
|
штат
чел., |
|
1 |
2 |
3 |
4 |
5 |
6 |
7 |
8 |
9 |
10 |
11 |
12 |
13 |
|
Ремонтно- механическая мастерская со
сварочным участком |
50 |
4 |
85-100 |
6 |
140-160 |
14 |
160-180 |
21 |
180-200 |
24 |
240-260 |
32 |
|
Столярная мастерская |
- |
- |
50-75 |
4 |
100-125 |
9 |
125-150 |
11 |
150-175 |
14 |
230-250 |
- |
|
Примечание. Для складов площадью более
5000 м2 в штат входят вспомогательные рабочие в количестве
18-20% от числа производственных рабочих для ремонтно-механической
мастеровой, 8-10% для столярной мастерской; и инженерно-технические
работники в количестве 9-12% от числа работающих для ремонтно-механической
мастерской; 7-8% для столярной мастерской. |
Приложение 18
Обязательное
Перечень товаров и веществ, совместное
хранение которых не допускается
|
Группы |
Наименование хранимых товаров |
Группы товаров не подлежащих к совместному хранению с
товарами данной группы |
|
1 |
2 |
3 |
|
I |
Легковоспламеняющиеся и горючие товары: |
|
|
|
а)
жидкости: бензин, ацетон, скипидар, растворители, лаки, нитрокраски, эмали
и т.п. |
Iб, II, III, IV, V, VI, Х, ХI, XII |
|
|
б) твердые
вещества: целлулоид, нафталин, спички, пенополиуретан и дp. |
Iа, II, III, IV, V, VI, VII, VIII, IХ, ХI |
|
II |
Вещества,
могущие вызвать воспламенение: |
|
|
|
азотная,
серная, соляная кислота, окислители, эссенции |
I, III, IV, V, VI, VII, VIII, IХ, Х, ХI, ХII |
|
III |
Легкогорючие вещества: |
|
|
|
вата,
синтетическая пряжа, хлопчатобумажные ткани и изделия из них
|
I, II, IV, V, VI, VII, VIII, IХ,
ХI, XII |
|
IV |
Растительные масла |
Iб, II, III, V, VI, VIII, XI, VII, IХ, Х |
|
V |
Помещения
для хранения товаров в аэрозольной упаковке |
I, II, III, IV, VI, VII, VIII, IХ, Х, ХI, ХII |
|
VI |
Легкогорючие удобрения (селитры, нитраты, нитрофосфаты) |
I, II, III, IV, V, IХ, Х, ХI, ХII |
|
VII |
Средства
для борьбы с насекомыми (инсектециды, дезинфицирующие средства) |
Iб, II, III, V, IХ, XI, ХII, IV, VIII |
|
VIII |
Средства
по уходу за мебелью, обувью, автомобилями |
Iб, II, III, IV, V, VII, IХ, X, XI, ХII |
|
IX |
Сухие
щелочи и щелочные препараты: |
|
|
|
(сода,
каустик и т.д.) |
I, II, III, V, VI, VIII |
|
X |
Пластмассовые, полимерные и резинотехнические изделия |
Iа, II, V, VI, VIII |
|
XI |
Средства
по уходу и защите растений садов и огородов (гербициды, пестициды,
ингибиторы, сера садовая и т.д.) |
I, II, III, IV, V, VI, VII, VIII, XII |
|
XII |
Синтетические моющие, отбеливающие средcтва и препараты |
Iа, II, V, VI, VII, VIII, XI |
|
Примечание. Совместность хранения
товаров и веществ, не вошедших в настоящее приложение, следует определять
по Правилам пожарной безопасности при эксплуатации зданий и сооружений
ГПБ-С-3-81, приложение 6. |
|
Вопрос совместности хранения товаров и
веществ с неизвестными пожароопасными и токсикологических средствами
должен решаться на основе изучения пожароопасных и токсикологических
характеристик соответствующими организациями. |
Приложение 19
Обязательное
Перечень помещений, подлежащих
оборудованию установками автоматического пожаротушения
1. Складские помещения для хранения сгораемых товаров площадей
1000 м2 и более.
2. Складские помещения для хранения несгораемых товаров в
сгораемой упаковке площадью 1500 м2 и более.
3. Складские помещения для хранения сгораемых товаров или
несгораемых товаров в сгораемой упаковке, расположенные в подвальных этажах,
площадью 700 м2 и более.
4. Складские помещений для хранения мехов и меховых изделий и
пушнины - независимо от площади.
5. Помещения складов для хранения легковоспламеняющихся жидкостей
и товаров в аэрозольной упаковке: для отдельно стоящих при площади 100 м2
и более; для пристроенных независимо от площади.
6. Помещения складов для хранения горючих жидкостей в таре: для
отдельно стоящих при площади 500 м2 и более; для пристроенных
независимо от площади.
7. Складские помещения для хранения целлулоидных изделий
независимо от площади.
8. Помещения дебаркадеров и экспедиций при складах, оборудованных
установками автоматического пожаротушения - независимо от площади.
9. Помещения экспедиций площадью 1000 м2 и более.
10. Помещения экспедиций, расположенных в подвальных и цокольных
этажах площадью 700 м2 и более.
11. Здания многоэтажных общетоварных складов с общей складской
площадью этажа 1000 м2 и более.
Примечания: 1. Склады для сахара, независимо от площади и
этажности, установками автоматического пожаротушения не оборудуются.
2. Охлаждаемые камеры установками автоматического пожаротушения
не оборудуются.
3. Выбор средств пожаротушения (вода, пена, газ или порошок) и
интенсивность пожаротушения определяются действующими нормами.
4. Для пожаротушения продовольственных товаров следует применять
водяные или воздушно-механические (нетоксичные) автоматические установки.
См. также
НПБ 110-03 Перечень зданий,
сооружений, помещений и оборудования, подлежащих защите автоматическими
установками пожаротушения и автоматической пожарной сигнализацией
Приложение 20
Рекомендуемое
ПРИМЕР РАСЧЕТА ЧИСЛЕННОСТИ СКЛАДСКОГО
ПЕРСОНАЛА, ЗАНЯТОГО НА ПОГРУЗОЧНО-РАЗГРУЗОЧНЫХ И ТРАНСПОРТНО-СКЛАДСКИХ РАБОТАХ
СКЛАДА ДЛЯ НЕПРОДОВОЛЬСТВЕННЫХ ТОВАРОВ
|
N
пп |
Виды работ на отдельных участках технологического процесса |
Параграф и номер нормы по Единым нормам выработки и времени
на вагонные, автотранспортные и складские погрузочно-разгрузочные работы |
Норма времени Нвр чел-ч на 1 усл.
поддон |
Объем перерабатываемых поддонов в сутки Qсут,
усл. поддонов |
Наименование должности |
Норма времени на суточный объем перерабатываемых поддонов
Нвр х Qсут |
Примечание |
|
1 |
2 |
3 |
4 |
5 |
6 |
7 |
8 |
|
1. |
Погрузка и разгрузка универсальных
контейнеров грузоподъемностью 2,5 и 5 тонн груженных и порожних
|
§ 4 N 80 |
0,0507
0,101 |
В объеме суточного грузооборота штук
Qсут
= Qпост + Qреал |
Крановщик
Стропальщик |
0,0507х (Qпост
+ Qреал)
0,101х (Qпост
+ Qреал) |
|
|
2. |
Выгрузка товаров из поступившего
транспорта, укладка на поддоны, количественная проверка
|
§ 1 N 18 |
0,144 |
В объеме суточного поступления товаров
Qпост
|
Грузчик |
0,144х Qпост
|
|
|
3. |
Транспортировка товаров на поддонах в
экспедицию приемки или непосредственно в секцию хранения |
§ 1 N 18 |
0,144
0,0358 |
В объеме суточного поступления товаров
Qпост |
Кладовщик
Meханизатор |
0,144х Qпост
0,0358х0,5 Qпост
|
50% от Qпост
берется по норме 18 |
|
|
|
§ 1 N 19 |
0,0227 |
|
Meханизатор
|
0,0227х0,5 Qпост
|
50% от Qсут
поступления
берется по норме 19
|
|
4. |
Транспортировка принятого в экспедиции
товара в секции хранения или к грузовым лифтам и установка в лифт
|
§ 1 N 19 |
0,0227 |
В объеме суточного поступления товаров
Qпост на этажи или в секции хранения
|
Meханизатор
|
0,0227х Qпост
|
|
|
5. |
Транспортировка доставленного на этажи
товара из лифтов к местам подготовки товаров к хранению
|
§ 1 N 19 |
0,0227 |
В объеме суточного поступления на
этажи Qпост на этажи |
Meханизатор
|
0,0227х Qпост
на этажи |
|
|
6. |
Количественная приемка товаров с
частичной перекладкой товаров при проверке |
§ 51
N 1014 |
0,144
|
В объеме 30% от суточного поступления
Qпост х0,3
|
Кладовщик
Подсобный рабочий
|
0,144х Qпост
х0,3
0,144х Qпост
х0,3 |
|
|
7. |
Отборка части товара на бракераж,
проверка качества товара, укладка проверенного товара на поддон
|
§ 54
N 811г |
0,298
|
15% от объема суточного поступления
Qпост х0,15
|
Отборщик- бракер |
0,298х0,15 Qпост
|
|
|
8. |
Формирование грузовых пакетов перед
укладкой на хранение |
§ 51
N 1014 |
0,144
|
50% от объема суточного поступления
Qпост х0,5
|
Подсобный рабочий
Кладовщик |
0,144х0,5
Qпост
0,144х0,5 Qпост
|
50% товара от суточного поступления
формируются на специализированные поддоны
|
|
9. |
Транспортировка грузовых пакетов к
местам хранения. Штабелирование или установка в ячейки стеллажа
|
§ 51
N 014 |
0,048 |
В объеме суточного поступления товаров
Qпост |
Механизатор |
0,048х Qпост
|
|
|
10. |
Дештабелирование грузовых пакетов с
мест хранения, транспортировка к местам отборки, возврат оставшегося
товара на поддоне на прежнее место хранения
|
§ 51
N 1014 |
0,048 |
В объеме суточной реализации Qреал
хK
|
Механизатор |
0,048х Qреал
хK |
K=3,
то есть при отборке товара на реализацию для формирования одного заказа
требуется доставить к месту отборщика три грузовых пакета
|
|
11. |
Отборка товарных единиц или грузовых
пакетов по наряду, количественный пересчет, перекладка на транспортные
поддоны или в передвижные контейнеры типа УКТ-2 или ШТП
|
N 811Г
N 811Г |
0,298
0,298
|
50% от объема суточной реализации
Qреал х0,5
|
Отборщик
Кладовщик |
0,298х Qреал
х0,5
0,298х Qреал
х0,5 |
|
|
12. |
Транспортировка подготовленного к
реализации товара к лифтам, установка в лифт
|
§ 51
N 1014 |
0,048 |
В объеме суточной реализации Qреал
с этажей выше первого |
Механизатор |
0,048х Qреал
с этажей |
|
|
13. |
Транспортировка товара от лифтов или
непосредственно из секций хранения в помещение экспедиции и реализации
|
§ 51
N 1014 |
0,048 |
В объеме суточной реализации
Qреал
|
Механизатор |
0,048х Qреал
|
|
|
14. |
Передача товара работникам экспедиции,
частичная упаковка, комплектование по маршрутам поставки |
§ 54
N 811Г
|
0,298
|
Частичная упаковка - 10% от объема
суточной реализации
|
Подсобный рабочий |
0,298х0,1 Qреал
|
10% реализованного товара вновь
перекладывается и упаковывается в экспедиции |
|
|
|
§ 51
N 1014 |
0,144 |
90% от объема суточной реализации
|
Подсобный рабочий |
0,144х0,9 Qреал
|
|
|
15. |
Транспортировка подготовленного к
реализации товара к транспорту вывоза |
§ 18 |
0,0358 |
В объеме суточной реализации
Qреал
|
Механизатор |
0,0358х0,5 Qреал
|
до 50% реализованного товара
отправляется в различной таре, остальные 50% в передвижных контейнерах
|
|
|
|
§ 19 |
0,0227 |
|
" |
0,0227х0,5 Qреал
|
|
|
16. |
Загрузка транспорта |
§ 18 |
0,144 |
В объеме суточной реализации Qреал
|
Грузчик |
0,144х0,5 Qреал
|
|
|
|
|
N 19 |
0,0455 |
|
" |
0,0455х0,5
Qреал |
|
|
|
Всего за сутки |
- |
- |
- |
- |
Hвр х Q |
|
|
|
по механизаторам |
|
|
|
|
Hвр х Qгр |
|
|
|
грузчикам |
|
|
|
|
Hвр х Qгр |
|
|
|
подсобным рабочим |
|
|
|
|
Hвр х Qпод.р |
|
|
|
отборщикам |
|
|
|
|
Hвр х Qотб |
|
|
Дальнейшей расчет численности ведется
по формуле 3.1. |
См также Межотраслевые
нормы времени на погрузку,
разгрузку вагонов, автотранспорта и складские работы, утв.
постановлением Минтруда РФ от 17
октября 2000 г. N 76
Приложение 21
Справочное
ПРИМЕРНЫЙ ШТАТ ЗАРЯДНОЙ
(По разработкам института
Гипроавтотранса)
|
Наиме-
нование профес-
сий |
Груп-
па про-
изв. про-
цесса |
Количество зарядных мест |
|
|
|
5 |
10 |
15 |
25 |
40 |
50 |
|
|
|
Смены
|
|
|
|
Пер-
вая
|
Вто-
рая |
Тре-
тья |
Все-
го |
Пер-
вая |
Вто-
рая |
Тре-
тья |
Все-
го |
Пер-
вая |
Вто-
рая |
Тре-
тья |
Все-
го |
Пер-
вая |
Вто-
рая |
Тре-
тья |
Все-
го |
Пер-
вая |
Вто-
рая |
Тре-
тья |
Все-
го |
Пер-
вая |
Вто-
рая |
Тре-
тья |
Все-
го |
|
Бригадир- аккумуля-
торщик |
Iа |
- |
- |
- |
- |
- |
- |
- |
- |
- |
- |
- |
- |
1 |
- |
- |
1 |
1 |
- |
- |
1 |
1 |
- |
- |
1 |
|
Мастер |
Iб |
1 |
- |
- |
1 |
1 |
- |
- |
1 |
1 |
- |
- |
1 |
1 |
1 |
- |
2 |
1 |
1 |
- |
2 |
1 |
1 |
1 |
3 |
|
Электро-
монтер (дежур-
ный) |
Iб |
1 |
- |
- |
1 |
1 |
- |
- |
1 |
1 |
1 |
1 |
3 |
1 |
1 |
1 |
3 |
1 |
1 |
1 |
3 |
2 |
1 |
1 |
4 |
|
Электро-
сварщик ручной сварки |
IIа |
- |
- |
- |
- |
х |
- |
- |
х |
х |
- |
- |
х |
1 |
- |
- |
1 |
1 |
1 |
- |
2 |
1 |
1 |
- |
2 |
|
Аккумуля-
торщик |
IIIб |
1 |
1 |
1 |
3 |
1 |
1 |
1 |
3 |
1 |
1 |
1 |
3 |
1 |
1 |
1 |
3 |
1 |
1 |
1 |
3 |
2 |
2 |
2 |
6 |
|
Слесарь- ремонт-
ник |
Iб |
1 |
- |
- |
1 |
1 |
1 |
- |
2 |
2 |
1 |
- |
3 |
2 |
2 |
- |
4 |
3 |
3 |
- |
6 |
5 |
4 |
- |
9 |
|
Уборщик производ-
ственных помеще-
ний |
Iб |
- |
- |
- |
- |
- |
- |
- |
- |
1 |
- |
- |
1 |
1 |
- |
- |
1 |
1 |
- |
- |
1 |
1 |
- |
- |
1 |
|
Всего |
|
4 |
1 |
1 |
6 |
4 |
2 |
1 |
7 |
6 |
3 |
2 |
11 |
8 |
5 |
2 |
15 |
9 |
7 |
2 |
18 |
13 |
9 |
4 |
26 |
|
Х - Профессия сварщика совмещена с
профессией слесаря по ремонту.
Примечания: 1. Штаты зарядной даны с
учетом ремонтного персонала в случае отсутствия ремонтных мастерских
2. Численность аккумуляторщиков
предусмотрена для зарядки батарей с одним типом электролита (кислотный или
щелочной)
3. Количество смен работы зарядной и
штаты уточняется проектом в соответствия с графиком работы погрузчиков и
зарядной. |
Приложение 22
Рекомендуемое
МЕТОДИКА ОПРЕДЕЛЕНИЯ
ТЕХНИКО-ЭКОНОМИЧЕСКИХ ПОКАЗАТЕЛЕЙ ПРОЕКТОВ ОБЩЕТОВАРНЫХ СКЛАДОВ
1. Годовой товарооборот общетоварного склада определяется исходя
из технологических данных проекта: емкости склада в вагонах (единовременного
хранения), товарооборачиваемости и средней стоимости одного вагона товара.
2. Годовой фонд заработной платы определяется исходя из
количества работающих по категориям (данные технологической части проекта) и
действующих должностных окладов и тарифных ставок в соответствии с приказом
Министерства торговли СССР от 31 декабря 1976 г N 249.
3. Амортизационные отчисления рассчитываются на основания Норм
амортизационных отчислений по основным фондам народного хозяйства СССР,
утвержденных Госпланом СССР и введенных в действие с 1 января 1975 г.
4. Стоимость единицы энергоресурсов принимается по прейскуранту N
09-01 "Тарифы на электрическую и тепловую энергию, отпускаемую энергосистемами и
электростанциями Министерства энергетики и электрификация СССР", утвержденному
постановлением Госкомцен СССР от 26 февраля 1980 г. N 151-A.
5. Производственные фонды состоят из основных фондов и оборотных
средств; оборотные средства - это товарные запасы в стоимостном выражении.
6. Приведенные затраты представляют собой сумму текущих затрат
(издержки производства и обращения) и нормативных отчислений от капвложений в
производственные фонды и определяются по формуле:
П = И + Ен х К,
(22.1)
где П - приведенные затраты;
И - текущие затраты (издержки
производства и обращения);
K - капитальные вложения;
Ен
- нормативный коэффициент эффективности капитальных вложений, равный для
общетоварных складов 0,26 (1981-1985 гг.) и 0,29 (1986-1990 гг.) (Приказы
Министерства торговли СССР от 30 июня 1980 г. N 169 и от 18 июня 1984 г. N 178)
7. Коэффициент эффективности капитальных вложений (Е)
определяется по формуле:
,
(22.2)
где: П - прибыль за год, тыс. рублей;
K - капитальные вложения, тыс.
рублей;
С - торговая скидка;
И - издержки обращения, тыс. рублей
Расчетный коэффициент не должен быть ниже нормативного.
Срок окупаемости (Т) есть величина, обратная
коэффициенту эффективности капитальных вложений
,
лет
(22.3)
Приложение 23
Обязательное
РАСЧЕТ ПОТРЕБНОСТИ В
ПОДЪЕМНО-ТРАНСПОРТНОМ ОБОРУДОВАНИИ
Расчет ведется по формуле:
,
шт., (23.1)
где: Q - среднесуточная грузопереработка, под/сут
или т/сут;
T - время работы машины в сутки, ч;
W - производительность машины,
под/ч или т/ч.
Расчет производительности подъемно-транспортных машин следует
проводить по табл.А.
Таблица А
|
Наименование машин |
Способ расчета |
Формулы и нормативные данные для расчета |
|
1 |
2 |
3 |
|
Электропогрузчики, автопогрузчики, мостовые и козловые краны,
кран-штабелеры |
1) По
грузоподъемности машины ω коэффициенту использования машины
по грузоподъемности коэффициенту использования машины по времени K0
и средней производительности цикла работы машины (Tц)
мин |
т/ч
,
|
|
|
|
где:
g - вес одновременно перевозимого груза, т
|
|
|
|
K0=0,75
для погрузчиков с крановой или безблочной стрелой
|
|
|
|
K0=0,85
для погрузчиков с вилами или со сталкивателем
|
|
|
|
K0=0,75
- 0,9 для кранов с крюком или вилами
|
|
|
2) По
единовременному количеству перевозимых за один цикл грузовых пакетов (N),
коэффициенту использования машины по времени (K0)
и средней продолжительности цикла (tц) мин. |
под/ч
= K0=0,85
для погрузчиков с вилами |
|
Машины
непрерывного действия
|
По
скорости движения ленты (V), м/сек, массе одного грузового
места g, кг и расстоянию между отдельными грузовыми местами
на ленте a, м
|
т/ч
a=0,5
- 1,0 метр |
Среднюю продолжительность цикла работы машины принимают по данным
табл.Б.
Таблица Б
|
Наименование машин |
Формулы и нормативные данные для расчета |
|
Электропогрузчики и автопогрузчики |
,
мин, |
|
|
где:
H1 - средняя высота подъема, м; |
|
|
l1
- средняя длина пути в цикле, м; |
|
|
V0
- скорость подъема, м/мин; |
|
|
V1
- скорость передвижения, м/мин; |
|
|
t1
- время наклона рамы в транспортное, загрузочное или разгрузочное
положение, мин; |
|
|
t1=0,25 |
|
|
tc
- сумма времени, затрачиваемого на захват груза, уточнение установки, мин; |
|
|
tc
=0,8 мин - для погрузчиков с вилами или со сталкивателем; |
|
|
tc
=0,8-1 мин - для погрузчиков с крановой или безблочной стрелой; |
|
|
tc
=1 мин - для погрузчиков со штырем |
|
Краны
мостовые, поворотные, краны-штабелеры мостовые |
,
мин, |
|
|
где:
H1 - средняя высота подъема, м; |
|
|
l1
- средняя длина пути в цикле, м; |
|
|
L2
- средний путь тележки (тали, каретки, захвата), м; |
|
|
φ
- угловое перемещение, градус; |
|
|
V0
- скорость подъема, м/мин; |
|
|
V1
- скорость передвижения крана, м/мин; |
|
|
V2
- скорость передвижения тележки, м/мин; |
|
|
V3
- угловая скорость, град/с; |
|
|
(величины
скорости следует брать по паспортным данным на оборудование) |
|
|
t0
- среднее время, затрачиваемое на дополнительные операции (застропка и
отстройка при использовании стропов, уточнение подходов, установка
поддонов, захват груза и т.д.) |
|
|
t0=1-2
мин. |
|
Краны-штабелеры стеллажные с ручным управлением |
,
мин, |
|
|
где:
H1 - средняя высота подъема, м; |
|
|
l1
- средняя длина пути в цикле, м; |
|
|
L2
- средний путь передвижения тележки, м;
|
|
|
V0
- скорость подъема, м/мин;
|
|
|
V1
- скорость передвижения крана, м/мин;
|
|
|
V2
- скорость передвижения тележки, м/мин;
|
|
|
t0
- среднее время, затрачиваемое на дополнительные операции
(застропка
и отстропка при использовании стропов, уточнение подходов, установка
поддонов, захват груза и т.д.) |
|
с
автоматическим управлением |
,
мин. |
|
|
(формула
предусматривает совмещение движения крана вдоль межстеллажных проходов с
движением по вертикали) |
Для общетоварных складов следует применять лифты
грузоподъемностью 3,2 и 5 тонн.
Количество лифтов определяется по формуле
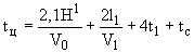
шт.,
(23.2)
где: P1 - масса груза перемещаемого
лифтами т/ч или поддонов/ч;
P - производительность лифта, т/ч
или поддонов/ч.
Производительность лифта при работе с грузами, уложенными на
поддонах, определяется по формуле:
поддонов/ч, (23.3)
где: Е - количество поддонов, одновременно
устанавливаемых в лифт.
При массе груза на поддоне 500 кг в кабину лифта
грузоподъемностью 3,2 тонны устанавливаются 3 поддона; в кабину лифта
грузоподъемностью 5 тонн - 4 поддона. При меньшей массе груза на поддоне
количество устанавливаемых поддонов может быть увеличено из условия установки их
в кабине лифта в 2 яруса.
При проектировании количество устанавливаемых в кабину лифта
поддонов с грузом следует уточнять с учетом массы напольного механизма,
въезжающего в кабину лифта с грузом.
H - средняя высота подъема, м;
υ
- скорость движения кабины, м/с;
для лифтов грузоподъемностью 3,2 тонны -
υ
=0,5 м/с,
для лифтов грузоподъемностью 5 тонн -
υ
=0,25 м/с;
ΣT
- суммарное время, затрачиваемое на остановках за полный цикл работы лифта,
определяется по формуле:
,
с, (23.4)
где: T1 - время на открытие и закрытие
дверей шахты и кабины, с;
T2
- время на пуск кабины, с;
T3
- время на загрузку кабины, с;
T4
- время на разгрузку и возврат тары, с;
T5
- время ускорения, замедления и выравнивания кабины, с.
Значения T1, T2,
T3, T4, T5
приведены в табл.В.
Таблица В
|
Размеры кабины лифта, мм |
Значения T |
Затраты времени (с) при грузоподъемности лифта |
|
|
|
3,2 т |
5 т |
|
2000x3000 |
T1 |
12 |
- |
|
2500x3500 |
T1 |
15 |
- |
|
3000x4000 |
T1 |
- |
20 |
|
Для всех кабин: |
|
|
|
|
|
T2 |
4 |
4 |
|
|
T3-
T4 |
45 на каждый поддон |
45 на каждый поддон |
|
|
T5 |
16 |
12 |
Производительность лифта при работе с навальными грузами или
размещении их на самоходных тележках определяют по формуле:
,
т/ч, (23.5)
где: ω - грузоподъемность лифта, т;
φ - коэффициент использования
грузоподъемности;
φ =0,8 - при размещении грузов в
кабине навалом;
φ =0,4-0,5 - на самоходных
тележках;
γ
- коэффициент загрузки кабины;
γ
=0,8-0,85
H -
средняя высота подъема, м;
-
скорость движения кабины, м/с (см. формулу 23.3);
ΣТ - суммарное время, затрачиваемое
на остановках за полный цикл работы лифта, с.
Значения Т см. табл.В.
Приложение 24
Обязательное
ЗНАЧЕНИЕ КОЭФФИЦИЕНТА ОДНОВРЕМЕННОСТИ
РАБОТЫ ВОЗДУШНО-ТЕПЛОВЫХ ЗАВЕС
Общий расход тепла для воздушно-тепловых завес в общетоварных
складах следует определять как сумму тепла завес отдельных ворот, умноженной на
коэффициент одновременности Kоз. Значение коэффициента
Kоз принимается по таблице в зависимости от количества
ворот и величины часового грузооборота, т.е. количества условных поддонов,
провозимых (поступающих на склад или вывозимых из склада) через эти ворота.
|
Количество условных поддонов в час, провозимых через ворота |
Значение коэффициента Kоз при
количестве ворот |
|
|
1 |
2 |
3 |
4 |
5 |
6 |
7 |
8 |
9 |
|
до 36 |
1 |
0,5 |
|
|
|
|
|
|
|
|
до 72 |
- |
1 |
0,7 |
0,5 |
|
|
|
|
|
|
до 108 |
- |
- |
1 |
0,75 |
0,6 |
|
|
|
|
|
до 144 |
- |
- |
1 |
1 |
0,8 |
0,67 |
|
|
|
|
до 180 |
- |
- |
- |
1 |
0,83 |
0,71 |
0,6 |
|
|
|
до 216 |
- |
- |
- |
- |
1 |
1 |
0,9 |
0,75 |
0,55 |
|
до 252 |
- |
- |
- |
- |
- |
1 |
1 |
0,9 |
0,8 |
Текст документа сверен по:
официальное издание
/Минторг СССР. - М., 1985
ВНТП 02-85 Ведомственные нормы технологического проектирования
общетоварных складов
Вид документа:
Приказ Минторга СССР от 15.11.1985 N 254
ВНТП от 15.11.1985 N 02-85
Принявший орган: Минторг СССР
Статус: Действующий
Дата начала действия: 01.01.1986
Опубликован: официальное издание, /Минторг СССР. - М., 1985 год
Ссылается на
СНиП II-89-80* Генеральные планы промышленных предприятий
Постановление Госстроя СССР от 30.12.1980 N 213
СНиП от 30.12.1980 N II-89-80*
ГОСТ 7890-93 Краны мостовые однобалочные подвесные. Технические
условия
ГОСТ от 21.10.1993 N 7890-93
Протокол МГС от 21.10.1993
ГОСТ 18477-79 (СТ СЭВ 772-83) Контейнеры универсальные. Типы, основные
параметры и размеры (с Изменениями N 1-3)
Постановление Госстандарта СССР от 14.09.1979 N 3572
ГОСТ от 14.09.1979 N 18477-79
ГОСТ 14757-81 Стеллажи сборно-разборные. Типы, основные параметры и размеры
(с Изменениями N 1, 2)
Постановление Госстандарта СССР от 10.07.1981 N 3323
ГОСТ от 10.07.1981 N 14757-81
ГОСТ 9078-84 (СТ СЭВ 317-76) Поддоны плоские. Общие технические условия
Постановление Госстандарта СССР от 20.12.1984 N 4852
ГОСТ от 20.12.1984 N 9078-84
ГОСТ 9570-84 Поддоны ящичные и стоечные. Общие технические условия (с
Изменением N 1)
Постановление Госстандарта СССР от 20.12.1984 N 4853
ГОСТ от 20.12.1984 N 9570-84
ВНТП 02-85 Ведомственные нормы
технологического проектирования общетоварных складов. Приложения 4-24
СКЛАД ЗАКОНОВ
|