СКЛАД ЗАКОНОВ

    

СКЛАД ЗАКОНОВ. Главная тема
16+

СКЛАД ЗАКРЫТ

#вируспруденция обнулила вообще всё!

 

Реклама на сайте                   

 

 

Пособие по проектированию грузовых комплексов аэропортов (к ВНТП 5-85/МГА)

(утв. МГА СССР 27.05.1986)

 

Утверждено

начальником ГПИ

и НИИ ГА Аэропроект

27 мая 1986 года

 

ПОСОБИЕ

ПО ПРОЕКТИРОВАНИЮ ГРУЗОВЫХ КОМПЛЕКСОВ АЭРОПОРТОВ

(К ВНТП 5-85/МГА)

 

Настоящее Пособие разработано в соответствии с требованиями СНиП 1.01.01.82* в развитие "Норм технологического проектирования грузовых комплексов аэропортов" (ВНТП 5-85/МГА) и содержит вспомогательные и справочные материалы, методики расчета основных показателей, табличные, графические и другие данные, необходимые для проектирования грузовых комплексов.

Пособие разработали: канд. эконом. наук Воронин Н.Н., инженеры Гавриленкова Л.А., Маркова С.Ф.

Пособие утверждено начальником ГПИ и НИИ ГА Аэропроект 27 мая 1986 г.

 

См. также:

Руководство по технической эксплуатации складов и объектов горюче-смазочных материалов предприятий гражданской авиации (утв. МГА СССР 27.07.1991 N 9/И)

ВНТП 6-85/МГА Ведомственные нормы технологического проектирования объектов авиатопливообеспечения аэропортов

 

1. ОБЩИЕ ПОЛОЖЕНИЯ

 

1.1. Настоящее Пособие имеет своей целью повысить качество проектирования, облегчить проектировщикам проведение расчетов и понимание отдельных положений и показателей Норм.

1.2. Проектирование расширения и реконструкции грузовых комплексов должно осуществляться применительно к ВНТП 5-85/МГА с учетом материалов настоящего Пособия, конкретных условий эксплуатации и застройки аэропортов.

 

2. ОСНОВНЫЕ РАСЧЕТНЫЕ ПОКАЗАТЕЛИ

(к разделу 2 ВНТП 5-85/МГА)

 

2.1. К основным расчетным показателям, определяющим состав оборудования, объемно-планировочные и технико-экономические показатели грузового комплекса, относятся:

годовые, суточные и часовые объемы грузовых потоков со стороны города и перрона;

коэффициенты суточной и часовой неравномерности грузовых потоков со стороны города и перрона;

объем грузов в общем грузообороте, хранящихся в многоярусных складских стеллажах;

соотношение грузов, перевозимых в контейнерах и на авиаподдонах пассажирскими и грузовыми воздушными судами;

срок хранения различных категорий грузов и режим работы грузового комплекса.

2.2. Проектирование грузовых комплексов, расположенных в различных климатических районах, следует производить исходя из годовых объемов перерабатываемых грузов в аэропортах, приведенных в табл. 1.

 

Таблица 1

 

--------------------+---------------------------------------------

  Класс аэропорта   |  Годовой объем грузовых перевозок, тыс. т

                    +----------------------+----------------------

                    |     II, III, IV      |I климатический район

                    | климатические районы |
--------------------+----------------------+----------------------

         I          |      150 - 100       |           -

        II          |      100 - 65        |           -

        III         |       65 - 25        |        65 - 25

        IV          |       25 - 6         |        25 - 6

         V          |        6 - 3         |         6 - 3

Неклассифицированные|          -           |         3 - 1

 

2.3. Значения коэффициентов суточной и часовой неравномерности грузовых потоков в грузовых комплексах, расположенных в различных климатических районах, следует принимать по табл. 2.

 

Таблица 2

 

--------------------+------------------------------------------------------

  Класс аэропорта   |      Значения коэффициентов суточной и часовой

                    |неравномерности грузовых потоков в грузовых комплексах

                    |               по климатическим районам

                    +---------------------------------+--------------------

                    |       II, III, IV районы        |       I район

                    +-----------+----------+----------+----------+---------

                    |           |    гор   |    пер   |          |    пер

                    |    К      |   К      |   К      |    К     |   К

                    |     с     |    ч     |    ч     |     с    |    ч

--------------------+-----------+----------+----------+----------+---------

         I          |  1,4 <*>  | 2,1 <*>  | 2,0 <*>  |    -     |    -

        II          |1,4 - 1,45 |2,1 - 2,15|2,0 - 2,05|    -     |    -

        III         |1,45 - 1,65|2,15 - 2,3|2,05 - 2,2|1,6 - 1,8 |2,0 - 2,2

        IV          |1,65 - 2,6 |2,3 - 3,0 |2,2 - 2,9 |1,8 - 2,7 |2,2 - 2,9

         V          | 2,6 - 3,0 |2,9 - 3,0 |2,9 - 3,0 |2,7 - 3,9 |2,9 - 3,9

Неклассифицированные|     -     |    -     |    -     |3,9 - 4,5 |3,9 - 4,5

 

--------------------------------

<*> Коэффициенты неравномерности соответствуют максимальному годовому объему грузовых перевозок.

 

3. МЕТОДИКА ОПРЕДЕЛЕНИЯ ОБЪЕМОВ СУТОЧНЫХ

И ЧАСОВЫХ ГРУЗОПОТОКОВ ГРУЗОВЫХ КОМПЛЕКСОВ

(к разделу 2 ВНТП 5-85/МГА)

 

3.1. При проектировании грузовых комплексов аэропортов необходимо различать следующие основные потоки грузов:

завозимые из города в аэропорт;

отправляемые пассажирскими и грузовыми воздушными судами;

прибывшие пассажирскими и грузовыми воздушными судами;

вывозимые в город;

трансферные грузы.

Схема основных входящих-выходящих грузопотоков в грузовом комплексе аэропорта приведена на рис. 1.

 

Пособие по проектированию грузовых комплексов аэропортов (к ВНТП 5-85/МГА) (утв. МГА СССР 27.05.1986)

 

Рис. 1. Схемы грузовых потоков

в грузовых комплексах аэропортов:

1 - поток грузов, завозимых из города в аэропорт:

1.1 - поток грузов, завозимых из города в аэропорт

централизованно; 1.2 - поток грузов, завозимых в аэропорт

децентрализованно городскими предприятиями; 1.3 - поток

грузов, завозимых в аэропорт децентрализованно предприятиями

районных центров; 1.4 - поток грузов, отправляемых

пассажирскими самолетами в порядке догрузки

в бесконтейнерном варианте; 1.5 - поток грузов,

отправляемых пассажирскими самолетами в контейнерах;

1.6 - поток грузов, отправляемых грузовыми самолетами

в контейнерах и на поддонах; 1.7 - поток грузов,

отправляемых в грузовых самолетах в бесконтейнерном

варианте; 2 - поток грузов, прибывших на всех типах

самолетов: 2.1 - поток грузов, прибывших пассажирскими

самолетами в бесконтейнерном варианте; 2.2 - поток грузов,

прибывших пассажирскими самолетами в контейнерах

и на поддонах; 2.3 - поток грузов, прибывших грузовыми

самолетами в контейнерах и на поддонах; 2.4 - поток грузов,

прибывших грузовыми самолетами в бесконтейнерном варианте;

2.5 - поток грузов, вывозимых в город централизованно;

2.6 - поток грузов, вывозимых в город децентрализованно

предприятиями города; 2.7 - поток грузов, вывозимых в город

децентрализованно предприятиями районных центров;

3 - поток трансферта грузов

 

3.2. Годовой грузооборот со стороны перрона Рисунок 275состоит из объемов трех грузовых потоков: первоначальные отправки, прибывшие и трансферные грузы, а со стороны города Рисунок 276- из двух грузовых потоков: завозимые из города и вывозимые в город, объемы которых определяются по формулам

 

Рисунок 277; (1)

 

Рисунок 278, (2)

 

где Рисунок 279- годовой объем первоначальных отправок, тыс. т;

Рисунок 280- годовой объем прибывших грузов, тыс. т;

Рисунок 281- годовой объем трансфертных грузов, тыс. т.

3.3. Расчетные суточные объемы грузопотоков со стороны перрона отправляемых Рисунок 282и прибывших Рисунок 283грузов следует определять по формулам

 

Рисунок 284, (3)

 

Рисунок 285, (4)

 

где Рисунок 286- коэффициент суточной неравномерности грузовых потоков со стороны перрона;

Т - число дней в году работы грузового комплекса аэропорта, сут.

3.4. Суммарный грузооборот со стороны перрона Рисунок 287следует определять по формуле

 

Рисунок 288. (5)

 

3.5. Расчетные суточные объемы грузопотоков со стороны города отправляемых Рисунок 289и прибывших Рисунок 290грузов следует определять по формулам

 

Рисунок 291; (6)

 

Рисунок 292, (7)

 

где Т' - число дней в году работы грузового комплекса по завозу-вывозу грузов, сут.;

Рисунок 293- коэффициент суточной неравномерности грузовых потоков со стороны города.

3.6. Суммарный суточный грузооборот со стороны города следует определять по формуле

 

Рисунок 294. (8)

 

3.7. Расчетные часовые грузопотоки со стороны перрона отправляемых Рисунок 295и прибывших Рисунок 296грузов следует определять по формулам

 

Рисунок 297; (9)

 

Рисунок 298, (10)

 

где Рисунок 299- коэффициент суточной неравномерности грузовых потоков со стороны перрона;

Рисунок 300- продолжительность периода работы по приему-выдаче грузов на воздушные суда.

3.8. Суммарный часовой грузооборот со стороны перрона Рисунок 301следует определять как сумму объемов грузопотоков отправляемых и прибывших грузов по формуле

 

Рисунок 302. (11)

 

3.9. Расчетные часовые объемы грузопотоков со стороны города отправляемых Рисунок 303и прибывших Рисунок 304грузов следует определять по формулам

 

Рисунок 305; (12)

 

Рисунок 306, (13)

 

где Рисунок 307- коэффициент часовой неравномерности грузовых потоков со стороны города;

Рисунок 308- продолжительность наиболее напряженного периода по приему-выдаче грузов грузополучателям, грузоотправителям.

3.10. Расчетный часовой грузооборот со стороны города Рисунок 309следует определять как сумму грузопотоков, завозимых из города и вывозимых в город, по формуле

 

Рисунок 310. (14)

 

В крупных городах (авиатранспортных узлах), имеющих два и более аэропорта, расчетный суточный и часовой объем каждого грузопотока в грузовом комплексе аэропорта на участке город - склад следует рассматривать как сумму грузовых потоков:

грузы, завозимые из города и вывозимые в город;

грузы, завозимые и вывозимые из других аэропортов;

грузы, завозимые и вывозимые из областных центров (периферийные).

3.11. При проектировании грузовых комплексов аэропортов суточные объемы грузов, перевозимых в контейнерах пассажирских и грузовых воздушных судов, следует определять на основании анализа фактических данных за ряд лет, а также в соответствии с перспективным планом развития аэропорта.

3.12. Суточный объем грузов, перевозимых в контейнерах и на поддонах пассажирскими и грузовыми воздушными судами Рисунок 311, следует определять по формуле

 

Рисунок 312, (15)

 

где Рисунок 313- суммарный суточный грузооборот со стороны перрона, т;

Рисунок 314- доля в общем грузообороте грузов, хранящихся в многоярусных складских стеллажах, %;

Рисунок 315и Рисунок 316- доли грузов, перевозимых в контейнерах соответственно грузовыми и пассажирскими воздушными судами.

3.13. Часовые объемы грузов, перевозимых в контейнерах и на поддонах грузовыми пассажирскими воздушными судами, определяются по формулам

 

Рисунок 317; (16)

 

Рисунок 318, (17)

 

где Рисунок 319и Рисунок 320- продолжительность периода работы грузового комплекса по приему-выдаче грузов соответственно на грузовые и пассажирские воздушные суда.

 

4. МЕТОДИКА ОПРЕДЕЛЕНИЯ КОЭФФИЦИЕНТОВ СУТОЧНОЙ И ЧАСОВОЙ

НЕРАВНОМЕРНОСТИ ГРУЗОВЫХ ПОТОКОВ В АЭРОПОРТАХ II И III

КЛИМАТИЧЕСКИХ РАЙОНОВ (к разделу 2 ВНТП 5-85/МГА)

 

4.1. При проектировании грузовых комплексов одним из основных показателей для определения суточного расчетного грузооборота, а, следовательно, площадей и объемов зданий и сооружений является коэффициент суточной неравномерности, отражающий неравномерность грузовых объемов по суткам в течение года. Суточная неравномерность грузовых потоков со стороны города и перрона характерна для всех аэропортов гражданской авиации, она вызвана следующими причинами:

несовершенной организацией и технологией обработки грузов в аэропортах;

метеоусловиями и технической неисправностью самолетов;

загруженностью определенных направлений в различные периоды года и т.д.

Наблюдаемая неравномерность завоза-вывоза грузов из города в аэропорт и из аэропорта в город является следствием неритмичности работы предприятий, удаленности аэропорта от города и ряда других причин.

Процессы, происходящие в грузовом комплексе аэропорта, зависят от ряда случайных факторов. Это определяет вероятностный характер функционирования грузового комплекса.

Если в качестве одного из основных требований к грузовому комплексу принять обеспеченность его достаточной пропускной способностью с любой заданной вероятностью любых суток максимального месяца, то расчет коэффициента суточной неравномерности должен строиться на изучении статистических закономерностей распределения фактических размеров отправляемых - прибывающих грузов по суткам в течение года.

4.2. Гистограммы и кривые плотности распределения для аэропортов I, II и III классов описываются функцией нормального распределения:

для аэропортов I класса

 

Рисунок 321; (18)

 

для аэропортов II класса

 

Рисунок 322; (19)

 

для аэропортов III класса

 

Рисунок 323. (20)

 

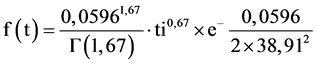
Гистограммы и кривые плотности распределения в аэропортах IV класса имеют вид гамма-распределения:

 

Рисунок 324. (21)

 

В аэропортах V класса гистограммы описываются функцией экспоненциального распределения

 

Рисунок 325. (22)

 

Гистограммы и кривые плотности распределения, рассчитанные по усредненным плотностям для аэропортов всех классов, приведены на рис. 2, 3 и 4.

 

Пособие по проектированию грузовых комплексов аэропортов (к ВНТП 5-85/МГА) (утв. МГА СССР 27.05.1986)

 

Рис. 2. Кривые плотности распределения суточных объемов

отправляемых грузов в аэропортах I, II и III классов

 

Пособие по проектированию грузовых комплексов аэропортов (к ВНТП 5-85/МГА) (утв. МГА СССР 27.05.1986)

 

Рис. 3. Гистограмма и кривая плотности распределения

суточных объемов отправляемых грузов в аэропортах IV класса

 

Пособие по проектированию грузовых комплексов аэропортов (к ВНТП 5-85/МГА) (утв. МГА СССР 27.05.1986)

 

Рис. 4. Гистограмма и кривая плотности распределения

суточных объемов отправляемых грузов в аэропортах V класса

 

4.3. Для определения меры расхождения между предполагаемыми распределениями и имеющимися статистическими данными использовались критерии согласия (Пирсона, В.М. Романовского А.Н. Колмогорова) для всех классов аэропортов. Значения критериев согласия приведены в табл. 3.

 

Таблица 3

 

--------------------------+---------------------------------------

    Критерии согласия     |Значения критериев согласия по классам

                          |               аэропортов

                          +-------+-------+-------+-------+-------

                          |   I   |  II   |  III  |  IV   |   V

--------------------------+-------+-------+-------+-------+-------

           2              |       |       |       |       |
 Пирсона хи  > 0,05       | 0,909 | 0,300 | 0,348 | 0,052 | 0,731

 Романовского R <= 3      | 1,141 | 0,349 | 0,231 | 1,817 | 0,693

 Колмогорова лямбда > 0,05| 1,000 | 0,763 | 0,951 | 0,433 | 0,829

 

4.4. Разный характер гистограмм и плотности распределения в аэропортах различных классов обусловливается следующими причинами:

суточный объем грузовых перевозок аэропортов V класса значительно отличается от суточного объема перевозок аэропортов I класса, он изменяется в зависимости от промышленного потенциала экономического района, обслуживаемого аэропортом;

по мере возрастания объема грузовых перевозок при переходе от V к I классу аэропортов изменяются типы самолетов, интенсивность их движения и повышается регулярность полетов;

в аэропортах I, II и III классов перевозки грузов осуществляются, в основном, по союзным линиям.

В аэропортах IV класса количество рейсов на союзных линиях значительно уменьшается, а в аэропортах V класса преобладают рейсы на местных линиях. В связи с этим уменьшаются объемно-весовые характеристики перевозимых партий грузов, а, следовательно, и их суточные объемы.

4.5. Для расчета коэффициентов суточной неравномерности грузовых потоков K следует пользоваться формулой профессора Г. Поттгоффа, рекомендованной К.Ю. Скаловым в работе "Транспортные узлы" (М., "Транспорт", 1966):

 

Рисунок 329, (23)

 

где Рисунок 330- нормированные отклонения объемов перевозимых грузов от их математического ожидания (принимается по таблицам интегралов вероятностей);

V - коэффициент вариации признака;

r - число, показывающее, во сколько раз увеличивается исходный расчетный период.

4.6. При отсутствии исходных данных для определения коэффициентов суточной неравномерности рекомендуется пользоваться графиком корреляционной зависимости между коэффициентом суточной неравномерности и годовым грузооборотом грузового комплекса, приведенным на рис. 5, и следующим уравнением корреляционной связи:

 

Рисунок 331. (24)

 

Пособие по проектированию грузовых комплексов аэропортов (к ВНТП 5-85/МГА) (утв. МГА СССР 27.05.1986)

 

Рис 5. Корреляционная зависимость между коэффициентом

суточной неравномерности и годовым грузооборотом

грузового комплекса

 

4.7. При определении коэффициентов часовой неравномерности следует пользоваться графиками, приведенными на рис. 6 и 7, и следующими уравнениями:

 

Рисунок 333; (25)

 

Рисунок 334. (26)

 

Пособие по проектированию грузовых комплексов аэропортов (к ВНТП 5-85/МГА) (утв. МГА СССР 27.05.1986)

 

Рис. 6. Графическое изображение корреляционной зависимости

между коэффициентом часовой неравномерности грузовых потоков

и годовым грузооборотом в аэропортах I - V классов

(со стороны перрона)

 

Пособие по проектированию грузовых комплексов аэропортов (к ВНТП 5-85/МГА) (утв. МГА СССР 27.05.1986)

 

Рис. 7. Графическое изображение корреляционной зависимости

между коэффициентом часовой неравномерности грузовых потоков

и годовым грузооборотом в аэропортах I - V классов

(со стороны города)

 

5. МЕТОДИКА ОПРЕДЕЛЕНИЯ КОЭФФИЦИЕНТОВ СУТОЧНОЙ

НЕРАВНОМЕРНОСТИ ГРУЗОВЫХ ПОТОКОВ В АЭРОПОРТАХ

I КЛИМАТИЧЕСКОГО РАЙОНА, КРОМЕ ПОДРАЙОНА IВ

(к разделу 2 ВНТП 5-85/МГА)

 

5.1. В грузовых комплексах I климатического района <*> неравномерность грузовых потоков еще более резко выражена, чем в других климатических районах. Грузовые потоки на воздушном транспорте имеют одностороннее направление (ввоз в северные районы значительно преобладает над вывозом).

--------------------------------

<*> Далее по тексту именуются "грузовые комплексы в северном варианте".

 

Виды распределения величин суточных объемов грузовых потоков не отличаются от типичных видов распределения, характерных для аэропортов средней полосы (II, III, IV климатических районов и подрайона Iв).

При величине годового грузооборота до 5 тыс. т распределение величины суточных грузопотоков описывается функцией экспоненциального распределения, при величине от 5 до 20 тыс. т - функцией гамма-распределения, свыше 20 тыс. т - функцией нормального распределения.

Значения функций для трех видов распределения трех групп грузовых комплексов, рассчитанных по усредненным и аппроксимированным данным, приведены в формулах

 

Рисунок 337; (27)

 

Рисунок 338; (28)

 

Рисунок 339. (29)

 

Гистограммы и кривые плотности распределений по группам грузовых комплексов аэропортов приведены на рис. 8, 9, 10.

 

Пособие по проектированию грузовых комплексов аэропортов (к ВНТП 5-85/МГА) (утв. МГА СССР 27.05.1986)

 

Рис. 8. Гистограмма и кривая плотности распределения

суточных объемов грузов в грузовых комплексах в северном

варианте с объемом перевозок до 5 тыс. т в год

 

Пособие по проектированию грузовых комплексов аэропортов (к ВНТП 5-85/МГА) (утв. МГА СССР 27.05.1986)

 

Рис. 9. Гистограмма и кривая плотности распределения

суточных объемов в грузовых комплексах в северном варианте

с объемом перевозок от 5 до 20 тыс. т в год

 

Пособие по проектированию грузовых комплексов аэропортов (к ВНТП 5-85/МГА) (утв. МГА СССР 27.05.1986)

 

Рис. 10. Гистограмма и кривая плотности распределения

суточных объемов в грузовых комплексах в северном варианте

с объемом перевозок свыше 20 тыс. т в год

 

5.2. Для группы грузовых комплексов, имеющих нормальное и гамма-распределение суточных грузопотоков, рекомендуется использовать формулу Поттгоффа (23) для определения коэффициентов суточной неравномерности.

В случае экспоненциального распределения рекомендуется пользоваться формулой (34), полученной путем преобразования интегральной функции экспоненциального распределения

 

Рисунок 343, (30)

 

где Рисунок 344- средняя величина суточного грузооборота;

t - расчетная величина суточного грузооборота.

Путем логарифмирования получим формулу следующего вида:

 

Рисунок 345(31)

 

или

 

Рисунок 346. (32)

 

Коэффициент суточной неравномерности Рисунок 347определяется отношением расчетного суточного объема грузов к среднесуточному за расчетный период, т.е.

 

Рисунок 348, (33)

 

где t - расчетный суточный объем грузов;

Рисунок 349- среднесуточный объем грузов за расчетный период.

Таким образом,

 

Рисунок 350. (34)

 

5.3. Коэффициент суточной неравномерности определяется в стационарный период работы грузового комплекса Рисунок 351, т.е. в период, в течение которого объемы суточных грузопотоков остаются примерно постоянными.

При определении Рисунок 352за расчетный период следует пользоваться формулой

 

Рисунок 353; Рисунок 354, (35)

 

где Рисунок 355- поправочный коэффициент, определяемый отношением календарного количества дней в году к количеству рабочих дней грузового комплекса в году.

5.4. Для практических расчетов коэффициентов суточной неравномерности грузопотоков рекомендуется пользоваться формулой, выражающей корреляционную зависимость между коэффициентом неравномерности и годовым грузооборотом, или графиком на рис. 11:

 

Рисунок 356. (36)

 

Пособие по проектированию грузовых комплексов аэропортов (к ВНТП 5-85/МГА) (утв. МГА СССР 27.05.1986)

 

Рис. 11. Корреляционная зависимость коэффициента суточной

неравномерности от объема годового грузооборота грузовых

комплексов в северном варианте

 

6. СОСТАВ ПОМЕЩЕНИЙ ГРУЗОВЫХ КОМПЛЕКСОВ

(к разделу 3 ВНТП 5-85/МГА)

 

6.1. При проектировании грузовых комплексов административно-служебные помещения, помещения инженерно-технического обслуживания, а также складские помещения для некоторых видов грузов, как правило, блокируются в одно здание.

6.2. Планировка складских и административно-служебных помещений должна соответствовать принятому технологическому процессу обработки грузов и документации, а также организации грузовых потоков и клиентуры.

6.3. Административно-служебные помещения грузовых комплексов I группы следует размещать в двух или трех уровнях: на первом этаже следует располагать операционный зал, помещения столовой, помещения представителей транспортно-экспедиционных предприятий и другие помещения, имеющие непосредственное отношение к обслуживанию грузоотправителей и оформлению документов; на втором этаже следует располагать служебные и бытовые помещения, не имеющие прямого отношения к грузоотправителям и грузополучателям; на третьем этаже следует располагать помещения вычислительного центра.

Административно-служебные помещения грузовых комплексов II группы следует размещать в двух уровнях, а грузовые комплексы III группы в уровне первого этажа. Состав складских, административно-служебных помещений и инженерно-технического обеспечения следует принимать по табл. 4.

 

Таблица 4

 

--------------------------------------------------+---------------

                Здания и помещения                |Группы грузовых

                                                  |  комплексов

                                                  +-------+-------

                                                  |I и II |  III

--------------------------------------------------+-------+-------

                        1                         |   2   |   3

--------------------------------------------------+-------+-------

                СКЛАДСКИЕ ПОМЕЩЕНИЯ               |       |
                                                  |       |
 Стеллажный склад:                                |   +   |   +

  радиоактивных грузов                            |   +   |   +

  животных, птиц, мальков                         |   +   |   +

  скоропортящихся грузов:                         |       |
   требующих охлаждения                           |   +   |
   не требующих охлаждения                        |       |
  вакцин, биопрепаратов, сывороток                |       |
  растений, цветов                                |   +   |   -

  особых грузов                                   |   -   |   -

  приемосдатчиков                                 |   +   |   +

 Склад опасных грузов:                            |       |
  инвентаря и складского имущества                |   +   |   -

  приемосдатчиков                                 |   +   |   +

 Контейнерный склад                               |   +   |   -

 Эстакады, крытые площадки для тяжеловесных,      |   +   |   +

 длинномерных грузов и контейнеров:               |       |
  хранение балласта                               |   +   |   -

  приемосдатчиков                                 |   +   |   -

                                                  |       |
        АДМИНИСТРАТИВНО-СЛУЖЕБНЫЕ ПОМЕЩЕНИЯ       |       |
                                                  |       |
 Начальника службы организации                    |   +   |   -

 почтово-грузовых перевозок и его секретаря:      |       |
  зам. начальника службы                          |   +   |   -

  начальников складов                             |   +   |   +

  техников по учету                               |   +   |   -

  начальника смены и старшего диспетчера          |   +   |   -

  операторов по оформлению грузовой документации  |   +   |   -

  диспетчера автотранспорта                       |   +   |   -

  диспетчеров по претензиям                       |   +   |   -

  информаторов, тарификаторов, кассиров           |   +   |   +

  для хранения документов строгой отчетности      |   +   |   +

  представителей транспортно-экспедиционных контор|   +   |   -

  плотников, слесарей, аккумуляторщиков, техников |   +   |   +

  по механизации                                  |       |
  грузчиков, водителей механизмов                 |   +   |   +

  табельщика-нормировщика                         |   +   |   -

 Операционный зал для клиентуры                   |   +   |   +

 Аппаратная телеграфной связи                     |   +   |   -

 Радиоузел                                        |   +   |   -

 Информационно-вычислительный центр               | + <*> |   -

 Архив документации                               |   +   |   -

 Буфет и столовая                                 |   +   |   +

 Комната отдыха грузчиков                         |   +   |   +

 Комната технической учебы                        |   +   |   -

 Ветеринарно-карантинная служба                   |   +   |   -

 Медпункт                                         |   +   |   -

 Бытовые                                          |   +   |   +

                                                  |       |
   ПОМЕЩЕНИЯ ИНЖЕНЕРНО-ТЕХНИЧЕСКОГО ОБЕСПЕЧЕНИЯ   |       |
                                                  |       |
 Машинного отделения холодильных камер            |   +   |   +

 Трансформаторной подстанции                      |   +   |   -

 Насосной станции пожаротушения и оборотного      |   +   |   +

 водоснабжения                                    |       |
 Вентиляционных камер                             |   +   |   +

 Щитовой автоматики, сантехсистемы и              |   +   |   -

 газоанализаторов                                 |       |
                                                  |       |
  ПОМЕЩЕНИЯ ДЛЯ ПРОФИЛАКТИЧЕСКОГО ОСМОТРА СРЕДСТВ |   +   |   +

 МЕХАНИЗАЦИИ И ПОДЗАРЯДКИ МЕХАНИЗМОВ С ДВИГАТЕЛЯМИ|       |
            НА АККУМУЛЯТОРНОМ ПИТАНИИ             |       |

 

--------------------------------

<*> Предусматривается в грузовых комплексах только I группы.

 

Примечание. Помещения информаторов, тарификаторов, кассиров и представителей транспортных предприятий по обслуживанию клиентуры должны примыкать к операционному залу или непосредственно располагаться в нем.

 

6.4. Потребные площади для размещения комплекса технических средств автоматизированной системы управления перевозками следует определять в соответствии с указаниями Госстроя СССР "О проектировании зданий и помещений для электронно-вычислительных машин" от 4 июля 1975 г. N НК-3094-1. Помещения вычислительного центра в грузовых комплексах I группы следует располагать согласно принципиальной схеме оптимального расположения ВЦ по зональному уровню, приведенному на рис. 12.

 

Пособие по проектированию грузовых комплексов аэропортов (к ВНТП 5-85/МГА) (утв. МГА СССР 27.05.1986)

 

Рис. 12. Принципиальная схема оптимального

расположения помещений ВЦ по зональному уровню:

первый уровень: 1 - машинный зал; 1а - оперативный архив;

1б - помещение для инженеров-эксплуатационников;

второй уровень: 2 - помещение подготовки и обработки данных;

2а - помещение программного контроля; 2б - помещение приема

и выдачи результатов; третий уровень: 3 - помещения

для программистов, склады документации и архивов;

четвертый уровень: 4 - различного рода административные

и служебно-бытовые помещения

 

6.5. При проектировании помещений для электронно-вычислительных машин следует руководствоваться СН 512-78 Госстроя СССР.

6.6. Расчет площадей административно-служебных и бытовых помещений следует осуществлять в соответствии с главой СНиП II-92-76, СНиП 275-71 и "Типовыми нормами численности работников служб организации перевозок эксплуатационного предприятия", утвержденными МГА 04.01.81, N 4/У.

6.7. В грузовых комплексах аэропортов должны предусматриваться помещения для профилактического осмотра средств механизации и подзарядки механизмов с двигателями на аккумуляторном питании.

Состав помещений и площади мастерских для технического обслуживания средств механизации следует принимать по табл. 5.

 

Таблица 5

 

------------------------------------+-----------------------------

             Мастерские             |Площадь мастерских по группам

                                    |   грузовых комплексов, м2

                                    +--------+----------+---------

                                    |   I    |    II    |   III

------------------------------------+--------+----------+---------

 Слесарная                          |   24   |    24    |   24

 Механическая                       |   12   |    12    |    -

 Сварочная                          |    8   |     -    |    -

 Столярная                          |   12   |    12    |   12

 Электрооборудования                |    9   |     9    |    6

 Растворная                         |    9   |     9    |    6

 ВСЕГО                              |   74   |    66    |   48

 

6.8. Состав основного оборудования мастерских технического обслуживания грузовых комплексов следует принимать по табл. 6.

 

Таблица 6

 

-------------------------------------+----------------------------

            Оборудование             | Количество оборудования по

                                     |группам грузовых комплексов,

                                     |              шт.

                                     +--------+---------+---------

                                     |   I    |   II    |   III

-------------------------------------+--------+---------+---------

                  1                  |   2    |    3    |    4

-------------------------------------+--------+---------+---------

         Слесарная мастерская        |        |         |
                                     |        |         |
 Верстак слесарный одноместный       |   1    |    1    |    1

 Настольно-сверлильный станок типа   |   1    |    1    |    1

 2М112                               |        |         |
 Точильно-шлифовальный станок типа   |   1    |    1    |    1

 3Б631                               |        |         |
 Шкаф инструментальный               |   1    |    1    |    1

 Стеллаж                             |   1    |    1    |    1

 Яма (эстакада или гидроподъемник)   |   1    |    1    |    1

                                     |        |         |
       Механическая мастерская       |        |         |
                                     |        |         |
 Токарно-винторезный станок типа     |   1    |    1    |    -

 1А61В (максимальный диаметр         |        |         |
 обрабатываемого изделия 320 мм,     |        |         |
 длина 710 мм)                       |        |         |
 Вертикально-сверлильный станок типа |   1    |    1    |    -

 2Н-125 (максимальный диаметр        |        |         |
 сверления 25 мм)                    |        |         |
 Точильно-шлифовальный станок типа   |   1    |    1    |    -

 3Б634 (диаметр шлифовального круга  |        |         |
 400 мм)                             |        |         |
 Шкаф инструментальный               |   1    |    1    |    -

 Тумбочка                            |   1    |    1    |    -

 Стеллаж полочный                    |   1    |    1    |    -

                                     |        |         |
        Сварочная мастерская         |        |         |
                                     |        |         |
 Стол для сварки ССМ-1               |   1    |    -    |    -

 Выпрямитель передвижной аварийный   |   1    |    -    |    -

 ВДГ-301 (номинальный сварочный ток  |        |         |
 315 А)                              |        |         |
 Ящик с песком                       |   1    |    -    |    -

 Стеллаж полочный                    |   1    |    -    |    -

                                     |        |         |
        Столярная мастерская         |        |         |
                                     |        |         |
 Станок комбинированный типа К-25    |   1    |    1    |    1

 Верстак столярный                   |   1    |    1    |    1

 Шкаф инструментальный               |   1    |    1    |    1

 Стеллаж                             |   1    |    1    |    1

                                     |        |         |
    Мастерская электрооборудования   |        |         |
                                     |        |         |
 Верстак столярный                   |   1    |    1    |    1

 Настольно-сверлильный станок типа   |   1    |    1    |    1

 2М112                               |        |         |
 Стеллаж                             |   1    |    1    |    1

 Шкаф инструментальный               |   1    |    1    |    1

 Комплектовочный вращающийся шкаф КВШ|   1    |    1    |    1

 Шкаф для документации               |   1    |    1    |    1

 Контрольный щит                     |   1    |    1    |    1

 Точильно-шлифовальный станок типа   |   1    |    1    |    1

 3В631                               |        |         |
 Выпрямитель для подзарядки          |        |         |
 аккумуляторов <*>                   |        |         |
                                     |        |         |
              Растворная             |        |         |
                                     |        |         |
 Шкаф электролитный                  |   1    |    1    |    1

 Дистиллятор                         |   1    |    1    |    1

 

--------------------------------

<*> Устанавливается один на два механизма с аккумуляторным питанием.

 

7. МЕТОДИКА РАСЧЕТА СКЛАДСКИХ ПЛОЩАДЕЙ ГРУЗОВЫХ КОМПЛЕКСОВ

(к разделу 3 ВНТП 5-85/МГА)

 

7.1. Величина общей площади грузового комплекса Рисунок 359представляет собой сумму площадей стеллажного и контейнерного складов, а также складских помещений для временного хранения тяжеловесных и длинномерных грузов, скоропортящихся, опасных, ценных, радиоактивных, особых и может быть выражена формулой

 

Рисунок 360, (37)

 

где Рисунок 361- общая площадь стеллажного склада;

Рисунок 362- общая площадь контейнерного склада;

Рисунок 363- площадь зоны хранения тяжеловесных и длинномерных грузов;

Рисунок 364- площадь зоны хранения опасных грузов;

Рисунок 365- площадь зоны хранения скоропортящихся грузов;

Рисунок 366- площадь зоны хранения ценных грузов;

Рисунок 367- площадь зоны хранения радиоактивных грузов;

Рисунок 368- площадь зоны хранения особых грузов;

Рисунок 369- площадь зоны хранения животных, птиц, мальков, растений и др. грузов.

7.2. Объем хранения грузов на поддонах в стеллажах следует определять по формуле

 

Рисунок 370, (38)

 

где Рисунок 371- суммарный суточный грузооборот со стороны перрона, т;

Рисунок 372- доля грузов в общем грузообороте, хранящихся в многоярусных стеллажах, %;

Рисунок 373, Рисунок 374- доли грузов в общем грузообороте, перевозимые в контейнерах и на авиационных поддонах соответственно грузовыми и пассажирскими воздушными судами, %;

Рисунок 375- нормативный усредненный срок хранения прибывших, отправляемых и трансферных грузов, сут.;

Рисунок 376- срок хранения грузовых авиаконтейнеров (принимается равным 0,5 сут.);

Рисунок 377- срок хранения пассажирских авиаконтейнеров (принимается равным 0,25 сут.).

7.3. Потребное количество ячеек стеллажного склада Рисунок 378определяется как сумма ячеек для обычных технических и мелких партий тарно-штучных грузов по формуле

 

Рисунок 379, (39)

 

где Рисунок 380- количество ячеек для обычных технических тарно-штучных грузов;

Рисунок 381- количество ячеек для мелких партий тарно-штучных грузов.

7.4. Общее количество ячеек для технических и мелких партий тарно-штучных грузов Рисунок 382следует определять по формуле

 

Рисунок 383, (40)

 

где Рисунок 384- объем грузов, хранящихся на складских поддонах в стеллажах;

Рисунок 385- доля технических тарно-штучных грузов, %;

Рисунок 386- доля грузов мелких отправок, %;

Рисунок 387- нормативная нагрузка технических грузов на 1 м2 или поддон размером 800 x 1200 мм при высоте укладки груза 0,8 м, т/м2;

Рисунок 388- нормативная нагрузка мелких партий грузов на 1 м2 или поддон размером 800 x 1200 мм при высоте укладки груза на поддоне 0,4 м, т/м2.

7.5. Количество стеллажных рядов для технических тарно-штучных грузов n и мелких партий грузов Рисунок 389рекомендуется определять по формулам

 

Рисунок 390; (41)

 

Рисунок 391, (42)

 

где Рисунок 392и Рисунок 393- количество ячеек, расположенных по высоте стеллажа, соответственно для технических грузов и мелких партий, шт.;

Рисунок 394и Рисунок 395- количество ячеек, расположенных по длине стеллажа для технических и мелких партий грузов, шт.

Площадь под стеллажами Рисунок 396следует определять по формуле

 

Рисунок 397, (43)

 

где l - длина стеллажа, м;

b - ширина стеллажа, м;

n - количество стеллажных рядов.

7.6. Общая площадь стеллажного склада Рисунок 398определяется по формуле

 

Рисунок 399, (44)

 

где Рисунок 400- суммарный суточный грузооборот со стороны перрона, т;

Рисунок 401- нормативный усредненный срок хранения прибывших, отправляемых и трансферных грузов, сут.;

Рисунок 402- срок хранения грузов в контейнерах грузовых воздушных судов (принимается 0,5 сут.);

Рисунок 403- срок хранения грузов в контейнерах и на поддонах пассажирских воздушных судов (принимается равным 0,25 сут.);

q - средняя нагрузка на 1 м2 площади складирования, занятой под стеллажами, при высоте укладки груза на поддоне 0,8 м с учетом ярусности складирования, т/м2;

Рисунок 404- коэффициент использования общей площади стеллажного склада.

7.7. Коэффициент использования общей площади стеллажного склада при применении автоматических кранов-штабелеров определяется отношением площади, занятой под стеллажами и стационарным оборудованием (зоны подкрановых путей кранов-штабелеров, площади под стеллажами и перегрузчиками, помещениями для операторов), к общей площади стеллажного склада.

Коэффициент использования площади стеллажного склада при применении электропогрузчиков определяется отношением площади, занятой под стеллажами и проездами между ними, к общей площади стеллажного склада.

7.8. Площадь комплектовки-раскомплектовки складских поддонов на грузовые тележки и АПК Рисунок 405для загрузки-разгрузки пассажирских воздушных судов следует определять по формуле

 

Рисунок 406, (45)

 

где Рисунок 407- площадь, занимаемая тягачами и грузовыми тележками, м2;

Рисунок 408- коэффициент использования площади зоны комплектовки-раскомплектовки складских поддонов на грузовые тележки и АПК (определяется отношением площади, занятой под грузовыми тележками и АПК, к общей площади всей зоны).

7.9. Площадь зоны приема-выдачи, комплектовки-раскомплектовки складских поддонов со стороны города Рисунок 409определяется по формуле

 

Рисунок 410, (46)

 

где Рисунок 411- площадь, занимаемая оборудованием на одном рабочем месте приема-выдачи грузов;

n - количество мест приема-выдачи грузов;

Рисунок 412- коэффициент использования площади зоны приема-выдачи, комплектовки-раскомплектовки складских поддонов (отношение площади зоны, занимаемой под оборудованием приемных мест разгрузки, к общей площади зоны).

7.10. При проектировании грузовых комплексов коэффициенты использования площади Рисунок 413, Рисунок 414и Рисунок 415рекомендуется принимать по табл. 7.

 

Таблица 7

 

-----------------------------------+----------------+-------------

             Механизмы             |Расстояние между|  Значения

                                   | стеллажами, м  |коэффициентов

                                   |                |использования

                                   |                | стеллажного

                                   |                |  склада К

                                   |                |          хр

-----------------------------------+----------------+-------------

 Электропогрузчики с фронтальным   |      3,2       |     0,27

 выдвижением вил                   |                |
 Электропогрузчики с поворотно-    |      2,6       |     0,32

 выдвижными вилами                 |                |
 Краны-штабелеры автоматические    |      1,0       | 0,42 - 0,45

 

Примечание. Коэффициенты использования Рисунок 416, Рисунок 417площади в зонах приема-выдачи, комплектовки-раскомплектовки складских поддонов следует принимать равными 0,16 - 0,20.

 

7.11. Объем хранения грузов в контейнерах и на авиационных поддонах в зоне контейнерного склада Рисунок 418определяется по формуле

 

Рисунок 419, (47)

 

где Рисунок 420- суммарный суточный грузооборот со стороны перрона, т;

Рисунок 421- доля в общем грузообороте грузов, хранящихся в складских стеллажах (принимается по ВНТП 5-85/МГА), %;

Рисунок 422, Рисунок 423- доли грузов, перевозимых в контейнерах соответственно грузовыми и пассажирскими воздушными судами (принимается по ВНТП 5-85/МГА), %;

Рисунок 424- срок хранения грузов в контейнерах грузовых воздушных судов (принимается равным 0,5 сут.);

Рисунок 425- срок хранения грузов в контейнерах пассажирских воздушных судов (принимается равным 0,25 сут.).

7.12. Расчет ориентировочного количества мест хранения (стеллажных ячеек) <*> для грузовых и багажных контейнеров Рисунок 426следует осуществлять по формуле

 

Рисунок 427, (48)

 

где n - количество грузовых контейнеров УАК-5, размещаемых в ячейке, шт.;

Рисунок 428- количество багажных контейнеров АК-1,5, размещаемых в одной ячейке, шт.;

Рисунок 429, Рисунок 430- коэффициенты использования грузоподъемности соответственно грузового и багажного контейнеров;

Рисунок 431, Рисунок 432- грузоподъемность грузового и багажного контейнеров.

--------------------------------

<*> Одна ячейка, предназначенная для авиационных контейнеров грузоподъемностью 5 т, может разместить один УАК-5 (ПАВ-5) ПАВ-2,5 или два багажных контейнера АК-1,5.

 

7.13. Значения коэффициентов использования авиационных контейнеров и поддонов приведены в табл. 8.

 

Таблица 8

 

------------------------------+-----------------------------------

 Типы авиационных контейнеров |     Коэффициент использования

          и поддонов          |          грузоподъемности

------------------------------+-----------------------------------

               1              |                 2

------------------------------+-----------------------------------

            УАК-5             |                0,8

            ПАВ-5,6           |                0,8

            ПАВ-3,0           |                0,57

            УАК-2,5           |                0,8

            ПАВ-2,5           |                0,6

            АК-1,5            |                0,4

 

7.14. Общая площадь контейнерного склада Рисунок 433определяется как сумма площадей по формуле

 

Рисунок 434, (49)

 

где Рисунок 435- площадь зоны комплектовки-раскомплектовки грузовых и багажных контейнеров, м2;

Рисунок 436- площадь зоны хранения грузовых и багажных контейнеров в стеллажах, м2;

Рисунок 437- площадь зоны погрузки-выгрузки грузовых и багажных контейнеров с перегрузочных средств на перронные средства механизации.

Зоны комплектовки-раскомплектовки и хранения грузовых и багажных контейнеров рекомендуется размещать в отапливаемой части здания, а зону погрузки-выгрузки грузовых и багажных контейнеров с перегрузочных средств на перронные средства механизации в неотапливаемой части контейнерного склада и сооружать ее с пониженной степенью капитальности из легких ограждающих конструкций.

7.15. Площади отапливаемой Рисунок 438и неотапливаемой Рисунок 439зон контейнерного склада следует определять по формулам

 

Рисунок 440; (50)

 

Рисунок 441, (51)

 

где Рисунок 442, Рисунок 443- количество подъемно-комплектовочных столов или мест комплектовки соответственно для грузовых и багажных контейнеров, шт.;

Рисунок 444, Рисунок 445- количество перегрузочных средств механизации и накопителей соответственно для грузовых и багажных контейнеров, шт.;

Рисунок 446и Рисунок 447- площадь, занятая под оборудованием одного места комплектовки соответственно грузового или багажного контейнера (подъемно-комплектовочный стол, роликовая дорожка и т.п.), м2;

Рисунок 448- площадь, занятая под хранением грузовых и багажных контейнеров (площадь под стеллажами, зона работы штабелера, зона работы штабелера контейнерного, площадь под накопителями), м2;

Рисунок 449- площадь, занятая под оборудованием одного места перегрузки грузовых контейнеров на перронные средства механизации (грузовая рампа или ПКС-5), м2;

Рисунок 450- площадь, занятая под оборудованием одного места перегрузки багажных контейнеров на перронные средства механизации (роликовые дорожки, ПКС-2), м2;

Рисунок 451- коэффициент использования площади отапливаемой части здания контейнерного склада в зонах комплектовки-раскомплектовки и хранения авиационных грузовых и багажных контейнеров (определяется как отношение площади, занятой под оборудованием для комплектовки-раскомплектовки контейнеров и стеллажами, к общей площади всей зоны);

Рисунок 452- коэффициент использования площади неотапливаемой части здания в зонах перегрузки грузовых и багажных контейнеров на перронные средства механизации (определяется как отношение площади, занятой под перегрузочными средствами, к общей площади зоны).

7.16. Ориентировочные значения коэффициентов использования площади отапливаемой и неотапливаемой частей зданий контейнерного склада следует принимать по табл. 9.

 

Таблица 9

 

-------------------------------------------+----------------------

         Зона контейнерного склада         |Значения коэффициентов

                                           |использования площадей

                                           | контейнерного склада

                                           | по группам грузовых

                                           |      комплексов

                                           +----------+-----------

                                           |    II    |    III

-------------------------------------------+----------+-----------

 Отапливаемая часть здания (зона           |   0,20   |    0,32

 комплектовки-раскомплектовки, хранения    |          |
 грузовых и багажных контейнеров)          |          |
 Неотапливаемая часть здания (зона         |   0,12   |    0,12

 погрузки-выгрузки контейнеров с           |          |
 перегрузочных средств на перронные        |          |
 средства механизации)                     |          |

 

7.17. Общую площадь специализированных зон хранения для различных категорий грузов S рекомендуется определять по формуле

 

Рисунок 453, (52)

 

где Рисунок 454- суточный грузооборот грузового комплекса со стороны перрона, т;

Рисунок 455- нормативный срок хранения рассчитываемой категории груза, сут.;

q - доля рассчитываемой категории груза в суточном грузообороте грузового комплекса, %;

g - усредненная нормативная нагрузка рассчитываемой категории груза на 1 м2 площади складирования при высоте укладки 1 м, т;

Рисунок 456- коэффициент использования площади зоны хранения рассчитываемой категории груза.

7.18. Ориентировочные значения коэффициентов использования площади зоны хранения для различных категорий грузов следует принимать по табл. 10 и 11, а усредненные нагрузки различных категорий грузов на 1 м2 по ВНТП 5-85/МГА.

 

Таблица 10

 

------------------------+------------+----------------------------

       Механизмы        | Расстояние |   Значения коэффициентов

                        |   между    |   использования площади

                        |стеллажами, +--------+------+------------

                        |штабелями, м| склад  |склад | склад для

                        |            |опасных |скоро-|тяжеловесных

                        |            | грузов |портя-|     и

                        |            |        |щихся |длинномерных

                        |            |        |грузов|   грузов

------------------------+------------+--------+------+------------

 Электропогрузчики с    |    3,2     |0,27 <*>| 0,27 |     -

 фронтальным выдвижением|            |        |      |
 вил                    |            |        |      |
 Электропогрузчики с    |    2,6     |   -    | 0,32 |     -

 поворотно-выдвижными   |            |        |      |
 вилами                 |            |        |      |
 Краны мостовые         |     -      |   -    |  -   |    0,38

 

--------------------------------

<*> Рекомендуется электропогрузчик типа ЭПВ-1021 во взрывобезопасном исполнении.

 

Таблица 11

 

-----------------------+-----------+------------------------------

       Механизмы       |Расстояние |    Значения коэффициентов

                       |   между   |    использования площади

                       |стеллажами,+-------+------+--------+------

                       |штабелями, |склад  |склад | склад  |склад

                       |     м     |вакцин,|живых |растений|особых

                       |           |биопре-|грузов|        |грузов

                       |           |паратов|      |        |
-----------------------+-----------+-------+------+--------+------

 Электротележки        |    2      | 0,33  | 0,33 |   -    | 0,32

 Ручные тележки        |    1,2    | 0,50  | 0,50 |  0,50  |  -

 

8. ТЕХНОЛОГИЯ ОБРАБОТКИ ГРУЗОВ, СРЕДСТВА МЕХАНИЗАЦИИ

И ОБОРУДОВАНИЕ ДЛЯ ПОГРУЗОЧНО-РАЗГРУЗОЧНЫХ РАБОТ

(к разделу 4 ВНТП 5-85/МГА)

 

8.1. Технология обработки грузов, перевозимых россыпью и скомплектованными в авиаконтейнерах и на авиаподдонах воздушными судами, основанная на применении серийно выпускаемых средств механизации и оборудования, приведена в табл. 12.

8.2. Определение потребного количества новых средств механизации N может быть произведено по формуле, приведенной в "Методике определения потребного количества средств механизации и автоматизации основных производственных процессов в аэропортах ГА", утвержденной МГА 30.06.82:

 

Рисунок 457, (53)

 

где Рисунок 458- интенсивность в час "пик" взлетов и посадок воздушных судов i-го типа, обслуживаемых данным средством, рейс/ч;

Рисунок 459- продолжительность цикла обслуживания воздушного судна i-го типа, мин;

Рисунок 460- коэффициент технической готовности средства;

60 - переводной коэффициент.

 

Таблица 12

 

---------------------+----------------------------------------------------------

      Операции       |    Типы механизмов и оборудования по группам грузовых

                     |                        комплексов

                     +------------------+-------------------+-------------------

                     |       III        |        II         |         I

---------------------+------------------+-------------------+-------------------

          1          |        2         |         3         |         4

---------------------+------------------+-------------------+-------------------

        Обработка груза, отправляемого россыпью пассажирскими самолетами

 

    Прием груза      |                  |                   |
                     |                  |                   |
 Выдача разрешения   |        -         |         -         |        -

 на прием груза      |                  |                   |
 Разгрузка груза с   |Складские поддоны,|Складские поддоны, |Складские поддоны,

 автомобиля          |маркиратор        |маркиратор         |маркиратор

 отправителя на      |                  |                   |
 складские поддоны,  |                  |                   |
 маркировка груза    |                  |                   |
 Доставка поддонов   |Складские поддоны,|Складские поддоны, |Складские поддоны,

 с грузом к весам,   |аккумуляторный    |аккумуляторный     |аккумуляторный

 взвешивание         |погрузчик, весы   |погрузчик, весы    |погрузчик, весы

                     |циферблатные      |циферблатные       |циферблатные

 Оформление          |Дисплейный модуль,|Дисплейный модуль, |Дисплейный модуль,

 документов в        |электронно-       |электронно-        |электронно-

 кассе, регистрация  |вычислительная    |вычислительная     |вычислительная

 груза, принятого к  |машина            |машина             |машина

 отправке и выбор    |                  |                   |
 адреса хранения     |                  |                   |
 Транспортировка     |Аккумуляторный    |Аккумуляторный     |Аккумуляторный

 груза на складских  |погрузчик,        |погрузчик,         |погрузчик,

 поддонах от весов   |складские         |складские поддоны, |кран-штабелер,

 к месту хранения,   |поддоны, стеллажи |стеллажи.          |складские поддоны,

 установка в ячейки  |                  |Для грузооборота   |стеллажи

 стеллажей           |                  |300 т/сут.:        |
                     |                  |аккумуляторный     |
                     |                  |погрузчик,         |
                     |                  |складские поддоны, |
                     |                  |кран-штабелер,     |
                     |                  |стеллажи           |
 Комплектация грузов |Пишущая машинка   |Дисплейный модуль, |Дисплейный модуль,

 на рейс, оформление |                  |алфавитно-цифровое |алфавитно-цифровое

 ведомости           |                  |печатающее         |печатающее

 комплектации        |                  |устройство,        |устройство,

                     |                  |электронно-        |электронно-

                     |                  |вычислительная     |вычислительная

                     |                  |машина             |машина

 Доставка складских  |Стеллажи,         |Стеллажи,          |Стеллажи,

 поддонов с грузом   |складские поддоны,|складские поддоны, |складские поддоны,

 из зоны хранения в  |аккумуляторный    |аккумуляторный     |кран-штабелер,

 зону комплектации   |погрузчик         |погрузчик.         |аккумуляторный

                     |                  |Для грузооборота   |погрузчик

                     |                  |300 т/сут.:        |
                     |                  |стеллажи,          |
                     |                  |складские поддоны, |
                     |                  |кран-штабелер,     |
                     |                  |аккумуляторный     |
                     |                  |погрузчик          |
 Загрузка груза на   |                  |Поддоны складские, |Поддоны складские,

 транспортные        |                  |автомобиль с       |автомобиль с

 средства для        |                  |подъемной          |подъемной

 самолетов Ил-62,    |                  |платформой АПК-12  |платформой АПК-12

 Ту-154, Ту-134,     |                  |или АПК-10         |или АПК-10

 Як-40, Ан-24, Ан-2, |                  |                   |
 Л-410:              |                  |                   |
  способ 1           |Грузовые          |                   |Грузовые автомобили

                     |автомобили        |                   |различных марок

                     |различных марок   |                   |
  способ 2           |                  |Модернизированные  |Модернизированные

                     |                  |прицепные грузовые |прицепные грузовые

                     |                  |тележки ТЛ-9,      |тележки ТЛ-9,

                     |                  |аккумуляторный     |аккумуляторный

                     |                  |тягач, типа АТБ-250|тягач типа АТБ-250

                     |                  |или автомобиль типа|или автомобиль

                     |                  |УАЗ-469 в качестве |типа УАЗ-469 в

                     |                  |тягача             |качестве тягача

 Обработка груза на  |                  |                   |
 перроне             |                  |                   |
 Транспортировка     |                  |Автомобиль с       |Автомобиль с

 груза к самолетам   |                  |подъемной          |подъемной

 Ил-62, Ту-154,      |                  |платформой АПК-12  |платформой АПК-12

 Ту-134, Як-40,      |                  |или АПК-10         |или АПК-10

 Ан-24, Ан-2:        |                  |                   |
  способ 1           |Грузовые          |Грузовые автомобили|Грузовые автомобили

                     |автомобили        |различных марок    |различных марок

                     |различных марок   |                   |
  способ 2           |                  |Модернизированные  |Модернизированные

                     |                  |прицепные грузовые |прицепные грузовые

                     |                  |тележки ТЛ-9,      |тележки ТЛ-9,

                     |                  |аккумуляторный     |аккумуляторный

                     |                  |тягач типа АТБ-250 |тягач типа АТБ-250

                     |                  |или автомобиль     |или автомобиль

                     |                  |УАЗ-469 в качестве |типа УАЗ-469 в

                     |                  |тягача             |качестве тягача

 Списание            |                  |                   |
 отправленного груза |                  |                   |
 Регистрация         |Пишущая машинка   |Дисплейный модуль, |Дисплейный модуль,

 отправленного груза |                  |электронно-        |электронно-

 и оформление        |                  |вычислительная     |вычислительная

 ведомости           |                  |машина, алфавитно- |машина, алфавитно-

 отправленного груза |                  |цифровое печатающее|цифровое печатающее

                     |                  |устройство         |устройство

 

       Обработка груза, отправляемого в авиаконтейнерах и на авиаподдонах

                          грузовыми воздушными судами

 

 Оформление ведомости|Пишущая машинка   |Дисплейный модуль, |Дисплейный модуль,

 комплектации грузов |                  |электронно-        |электронно-

                     |                  |вычислительная     |вычислительная

                     |                  |машина, алфавитно- |машина, алфавитно-

                     |                  |цифровое печатающее|цифровое печатающее

                     |                  |устройство         |устройство

 Доставка и установка|                  |                   |
 порожних            |                  |                   |
 авиаконтейнеров и   |                  |                   |
 авиаподдонов в      |                  |                   |
 зоне комплектации   |                  |                   |
 для самолетов:      |                  |                   |
  Ан-26Б             |Авиаподдон        |Авиаподдоны        |Авиаподдоны

                     |ПАВ-2,5,          |ПАВ-2,5, мостовой  |ПАВ-2,5,

                     |автопогрузчик,    |кран, роликовые    |рольганговые

                     |роликовые дорожки |дорожки РД-2 или   |стеллажи,

                     |РД-2, подъемно-   |РД-5, подъемно-    |контейнерный

                     |комплектовочный   |комплектовочный    |штабелер ШК-5,

                     |стол ПКС-5        |стол               |роликовые дорожки

                     |                  |                   |РД-2, подъемно-

                     |                  |                   |комплектовочный

                     |                  |                   |стол ПКС-5

  Ил-76Т, Ту-154С    |                  |Авиаподдоны        |Авиаподдоны

                     |                  |ПАВ-2,5, ПАВ-5,6,  |ПАВ-5,6, ПАВ-2,5,

                     |                  |авиаконтейнеры     |ПАВ-3,0,

                     |                  |УАК-5, УАК-2,5,    |авиаконтейнеры

                     |                  |мостовой кран,     |УАК-5, УАК-2,5,

                     |                  |роликовые дорожки  |рольганговые

                     |                  |РД-2 или РД-5,     |стеллажи,

                     |                  |подъемно-          |контейнерный

                     |                  |комплектовочный    |штабелер ШК-5,

                     |                  |стол ПКС-5         |роликовые дорожки

                     |                  |                   |РД-2, подъемно-

                     |                  |                   |комплектовочный

                     |                  |                   |стол ПКС-5

 Доставка складских  |Стеллажи,         |Стеллажи,          |Стеллажи,

 поддонов с грузом   |складские поддоны,|складские поддоны, |складские поддоны,

 из зоны хранения в  |аккумуляторный    |аккумуляторный     |кран-штабелер,

 зону комплектации   |погрузчик         |погрузчик.         |аккумуляторный

                     |                  |Для грузооборота   |погрузчик

                     |                  |300 т/сут.:        |
                     |                  |стеллажи, складские|
                     |                  |поддоны,           |
                     |                  |кран-штабелер,     |
                     |                  |аккумуляторный     |
                     |                  |погрузчик          |
 Укладка груза в     |                  |                   |
 авиаконтейнеры и на |                  |                   |
 авиаподдоны для     |                  |                   |
 самолетов:          |                  |                   |
  АН-26Б             |Роликовые дорожки |Подъемно-          |Подъемно-

                     |РД-2, подъемно-   |комплектовочный    |комплектовочный

                     |комплектовочный   |стол ПКС-5,        |стол ПКС-5,

                     |стол ПКС-5,       |авиаподдоны ПАВ-2,5|авиаподдоны ПАВ-2,5

                     |авиаподдоны       |                   |
                     |ПАВ-2,5           |                   |
  ИЛ-76Т             |                  |Подъемно-          |Подъемно-

                     |                  |комплектовочный    |комплектовочный

                     |                  |стол ПКС-5,        |стол ПКС-5,

                     |                  |авиаконтейнеры     |авиаконтейнеры

                     |                  |УАК-5, УАК-2,5     |УАК-5, УАК-2,5 или

                     |                  |или авиаподдоны    |авиаподдоны

                     |                  |ПАВ-2,5, ПАВ-5,6,  |ПАВ-2,5, ПАВ-5,6

                     |                  |ПАВ-5              |
  Ту-154С            |                  |Авиаподдоны ПАВ-5,6|Подъемно-

                     |                  |                   |комплектовочный

                     |                  |                   |стол ПКС-5,

                     |                  |                   |авиаподдоны ПАВ-3,0

 Оформление ярлыка и |                  |                   |
 пломбирование       |                  |                   |
 скомплектованных    |                  |                   |
 авиаконтейнеров и   |                  |                   |
 авиаподдонов        |                  |                   |
 Установка           |                  |                   |
 скомплектованного   |                  |                   |
 авиаконтейнера или  |                  |                   |
 авиаподдона на весы,|                  |                   |
 взвешивание для     |                  |                   |
 самолета            |                  |                   |
  Ан-26Б             |Мостовой кран или |Мостовой кран или  |Мостовой кран или

                     |автопогрузчик,    |автопогрузчик,     |автопогрузчик, весы

                     |весы автомобильные|весы автомобильные |автомобильные

 Установка           |                  |                   |
 скомплектованного   |                  |                   |
 авиаконтейнера или  |                  |                   |
 авиаподдона в зоне  |                  |                   |
 хранения для        |                  |                   |
 самолетов:          |                  |                   |
  Ан-26Б             |Мостовой кран     |Мостовой кран или  |Мостовой кран или

                     |или кран-балка,   |автопогрузчик,     |автопогрузчик,

                     |автопогрузчик,    |роликовые дорожки  |роликовые дорожки

                     |роликовые дорожки |РД-5 или РД-2,     |РД-2, контейнерный

                     |РД-2, авиаподдоны |авиаподдоны ПАВ-2,5|штабелер ШК-5,

                     |ПАВ-2,5           |                   |рольганговые

                     |                  |                   |стеллажи,

                     |                  |                   |авиаподдоны ПАВ-2,5

  Ил-76Т             |        -         |Мостовой кран,     |Мостовой кран,

                     |                  |роликовые дорожки  |роликовые дорожки

                     |                  |РД-2 или РД-5,     |РД-2, контейнерный

                     |                  |авиаконтейнеры     |штабелер ШК-5,

                     |                  |УАК-5, УАК-2,5 или |рольганговые

                     |                  |авиаподдоны        |стеллажи,

                     |                  |ПАВ-2,5, ПАВ-5,6   |авиаконтейнеры

                     |                  |                   |УАК-5, УАК-2,5

                     |                  |                   |или авиаподдоны

                     |                  |                   |ПАВ-2,5, ПАВ-5,6

  Ту-154С            |        -         |Подъемно-          |Подъемно-

                     |                  |комплектовочный    |комплектовочный

                     |                  |стол ПКС-5,        |стол ПКС-5,

                     |                  |роликовые дорожки  |роликовые дорожки

                     |                  |РД-2 или РД-5      |РД-2, контейнерный

                     |                  |                   |штабелер ШК-5,

                     |                  |                   |рольганговые

                     |                  |                   |стеллажи,

                     |                  |                   |авиаподдоны ПАВ-3,0

 Формирование        |        -         |         -         |Рольганговые

 отправляемого рейса |                  |                   |стеллажи,

                     |                  |                   |контейнерный

                     |                  |                   |штабелер ШК-5,

                     |                  |                   |грузовая рампа,

                     |                  |                   |авиаконтейнеры

                     |                  |                   |УАК-2,5, УАК-5 или

                     |                  |                   |авиаподдоны

                     |                  |                   |ПАВ-2,5, ПАВ-3,0,

                     |                  |                   |ПАВ-5,6

 Загрузка            |                  |                   |
 авиаконтейнеров и   |                  |                   |
 авиаподдонов на     |                  |                   |
 транспортное        |                  |                   |
 средство для        |                  |                   |
 самолетов:          |                  |                   |
  Ан-26Б             |Роликовые дорожки |Авиаподдоны        |Авиаподдоны

                     |РД-2, подъемно-   |ПАВ-2,5, роликовые |ПАВ-2,5, грузовая

                     |комплектовочный   |дорожки РД-2 или   |рампа, автопоезд-

                     |стол ПКС-5,       |РД-5, подъемно-    |контейнеровоз АК-6

                     |автопоезд-        |комплектовочный    |
                     |контейнеровоз     |стол ПКС-5,        |
                     |АК-6, авиаподдоны |автопоезд-         |
                     |ПАВ-2,5           |контейнеровоз АК-6 |
  ИЛ-76Т:            |                  |                   |
   способ 1          |        -         |Роликовые дорожки  |Грузовая рампа,

                     |                  |РД-2 или РД-5,     |тележки

                     |                  |подъемно-          |контейнерные

                     |                  |комплектовочный    |упрощенные ТКУ-2А

                     |                  |стол ПКС-5, тележки|и трактор,

                     |                  |упрощенные ТКУ-2А и|авиаконтейнеры

                     |                  |трактор,           |УАК-2,5, УАК-5 или

                     |                  |авиаконтейнеры     |авиаподдоны

                     |                  |УАК-2,5, УАК-5 или |ПАВ-2,5, ПАВ-5,6

                     |                  |авиаподдоны        |
                     |                  |ПАВ-2,5, ПАВ-5,6   |
   способ 2          |        -         |Роликовые дорожки  |Грузовая рампа,

                     |                  |РД-2 или РД-5,     |автопоезд-

                     |                  |подъемно-          |контейнеровоз АК-6,

                     |                  |комплектовочный    |авиаконтейнеры

                     |                  |стол ПКС-5,        |УАК-2 или УАК-5,

                     |                  |автопоезд-         |авиаподдоны ПАВ-2,5

                     |                  |контейнеровоз АК-6,|или ПАВ-5,6

                     |                  |авиаподдоны ПАВ-2,5|
                     |                  |или ПАВ-5,6,       |
                     |                  |авиаконтейнеры     |
                     |                  |УАК-2,5, УАК-5     |
  Ту-154С            |        -         |Роликовые дорожки  |Грузовая рампа,

                     |                  |РД-2 или РД-5,     |автомобиль с

                     |                  |подъемно-          |подъемной

                     |                  |комплектовочный    |платформой АПК-К,

                     |                  |стол ПКС-5,        |авиаподдоны ПАН-3,0

                     |                  |автомобиль с       |
                     |                  |подъемной          |
                     |                  |платформой АПК-К,  |
                     |                  |авиаподдоны ПАН-3,0|
 Транспортировка     |                  |                   |
 авиаконтейнеров и   |                  |                   |
 авиаподдонов к      |                  |                   |
 самолетам:          |                  |                   |
  Ан-26Б             |Автопоезд-        |Автопоезд-         |Автопоезд-

                     |контейнеровоз     |контейнеровоз АК-  |контейнеровоз АК-6,

                     |АК-6,             |6, авиаподдоны     |авиаподдоны

                     |авиаподдоны ПАВ-  |ПАВ-2,5            |ПАВ-2,5

                     |2,5               |                   |
                     |                  |                   |
  Ил-76Т:            |                  |                   |
   способ 1          |        -         |Тележки            |Тележки

                     |                  |контейнерные       |контейнерные

                     |                  |упрощенные ТКУ-2А, |упрощенные ТКУ-2А,

                     |                  |трактор,           |трактор, прицепной

                     |                  |авиаконтейнеры     |погрузчик

                     |                  |УАК-2,5, УАК-5 или |контейнеров ППК-5,

                     |                  |авиаподдоны        |авиаконтейнеры

                     |                  |ПАВ-2,5, ПАВ-5,6   |УАК-2,5, УАК-5 или

                     |                  |                   |авиаподдоны

                     |                  |                   |ПАВ-2,5, ПАВ-5,6

   способ 2          |        -         |Автопоезд-         |Автопоезд-

                     |                  |контейнеровоз АК-6,|контейнеровоз АК-6,

                     |                  |авиаконтейнеры     |авиаконтейнеры

                     |                  |УАК-2,5, УАК-5 или |УАК-2,5, УАК-5,0

                     |                  |авиаподдоны        |или авиаподдоны

                     |                  |ПАВ-2,5, ПАВ-5,6   |ПАВ-2,5, ПАВ-5,6

  Ту-154С            |        -         |Автомобиль с       |Автомобиль с

                     |                  |подъемной          |подъемной

                     |                  |платформой АПК-К,  |платформой АПК-К,

                     |                  |авиаподдоны ПАВ-3,0|авиаподдоны ПАВ-3,0

 

       Обработка грузов, отправляемых в авиаконтейнерах и на авиаподдонах

                        пассажирскими воздушными судами

 

 Оформление          |Пишущая машинка   |Дисплейный модуль, |Дисплейный модуль,

 ведомости           |                  |электронно-        |электронно-

 комплектации груза  |                  |вычислительная     |вычислительная

                     |                  |машина, алфавитно- |машина, алфавитно-

                     |                  |цифровое печатающее|цифровое печатающее

                     |                  |устройство         |устройство

 Доставка и          |                  |                   |
 установка порожних  |                  |                   |
 авиаподдонов и      |                  |                   |
 авиаконтейнеров в   |                  |                   |
 зоне комплектации   |                  |                   |
 для самолетов:      |                  |                   |
  Як-42              |Кран мостовой     |Кран мостовой,     |Рольганговые

                     |(кран-балка),     |роликовые дорожки, |стеллажи,

                     |роликовые дорожки |подъемно-          |контейнерный

                     |РД-2, подъемной   |комплектовочный    |штабелер ШК-5,

                     |комплектовочный   |стол ПКС-2А,       |роликовые дорожки

                     |стол ПКС-2А,      |авиаконтейнеры     |РД-2, подъемно-

                     |авиаконтейнеры    |АК-0,7             |комплектовочный

                     |АК-0,7            |                   |стол ПКС-2А,

                     |                  |                   |авиаконтейнеры

                     |                  |                   |АК-0,7

  Ил-86              |        -         |Авиаконтейнеры     |Авиаконтейнеры

                     |                  |АК-1,5 или пакет   |АК-1,5 или пакет

                     |                  |авиаподдонов       |авиаподдонов

                     |                  |ПАН-1,5, кран      |ПАН-1,5,

                     |                  |мостовой, роликовые|рольганговые

                     |                  |дорожки РД-2,      |стеллажи,

                     |                  |подъемно-          |контейнерный

                     |                  |комплектовочный    |штабелер ШК-5,

                     |                  |стол ПКС-2А        |роликовые дорожки

                     |                  |                   |РД-2, подъемно-

                     |                  |                   |комплектовочный

                     |                  |                   |стол ПКС-2А

                     |                  |Пакет авиаподдонов |Пакет авиаподдонов

                     |                  |ПАН-3,0, кран      |ПАН-3,0,

                     |                  |мостовой,          |рольганговые

                     |                  |роликовые дорожки  |стеллажи,

                     |                  |РД-2, подъемно-    |контейнерный

                     |                  |комплектовочный    |штабелер ШК-5,

                     |                  |стол ПКС-5         |роликовые дорожки

                     |                  |                   |РД-2, подъемно-

                     |                  |                   |комплектовочный

                     |                  |                   |стол ПКС-5

 Доставка складских  |Стеллажи,         |Стеллажи,          |Стеллажи, складские

 поддонов с грузом из|складские поддоны,|складские поддоны, |поддоны,

 зоны хранения в зону|аккумуляторный    |аккумуляторный     |кран-штабелер,

 комплектации        |погрузчик         |погрузчик.         |аккумуляторный

 авиаконтейнеров и   |                  |Для грузооборота   |погрузчик

 авиаподдонов        |                  |300 т/сут.:        |
                     |                  |стеллажи,          |
                     |                  |складские поддоны, |
                     |                  |кран-штабелер,     |
                     |                  |аккумуляторный     |
                     |                  |погрузчик          |
 Укладка груза в     |                  |                   |
 авиаконтейнеры и    |                  |                   |
 на авиаподдоны,     |                  |                   |
 пломбирование,      |                  |                   |
 оформление ярлыка,  |                  |                   |
 определение массы   |                  |                   |
 груза по накладным, |                  |                   |
 установка на        |                  |                   |
 хранение для        |                  |                   |
 самолетов:          |                  |                   |
  Як-42              |Авиаконтейнеры    |Авиаконтейнеры     |Авиаконтейнеры

                     |АК-0,7, подъемно- |АК-0,7, подъемно-  |АК-0,7, подъемно-

                     |комплектовочный   |комплектовочный    |комплектовочный

                     |стол ПКС-2А,      |стол ПКС-2А,       |стол ПКС-2А,

                     |роликовые дорожки |роликовые дорожки  |роликовые дорожки

                     |РД-2              |РД-2               |РД-2, контейнерный

                     |                  |                   |штабелер ШК-5,

                     |                  |                   |рольганговые

                     |                  |                   |стеллажи

  Ил-86              |                  |Авиаконтейнеры     |Авиаконтейнеры

                     |                  |АК-1,5 или         |АК-1,5 или

                     |                  |авиаподдоны ПАН-   |авиаподдоны

                     |                  |ПАН-1,5 подъемно-  |ПАН-1,5, подъемно-

                     |                  |комплектовочный    |комплектовочный

                     |                  |стол ПКС-2А,       |стол ПКС-2А,

                     |                  |роликовые дорожки  |роликовые дорожки

                     |                  |РД-2.              |РД-2, контейнерный

                     |                  |Авиаподдоны        |штабелер ШК-5,

                     |                  |ПАН-3,0, подъемно- |рольганговые

                     |                  |комплектовочный    |стеллажи,

                     |                  |стол ПКС-2А,       |авиаподдоны

                     |                  |роликовые дорожки  |ПАН-3,0, подъемно-

                     |                  |РД-2               |комплектовочный

                     |                  |                   |стол ПКС-5,

                     |                  |                   |роликовые дорожки

                     |                  |                   |РД-2, контейнерный

                     |                  |                   |штабелер ШК-5,

                     |                  |                   |рольганговые

                     |                  |                   |стеллажи

 Установка           |                  |                   |
 авиаконтейнеров и   |                  |                   |
 авиаподдонов в      |                  |                   |
 зоне загрузки на    |                  |                   |
 транспортное        |                  |                   |
 средство для        |                  |                   |
 самолетов:          |                  |                   |
  Як-42              |        -         |         -         |Рольганговые

                     |                  |                   |стеллажи,

                     |                  |                   |контейнерный

                     |                  |                   |штабелер ШК-5,

                     |                  |                   |роликовые дорожки

                     |                  |                   |РД-2, подъемно-

                     |                  |                   |комплектовочный

                     |                  |                   |стол ПКС-2А

  Ил-86              |        -         |         -         |Авиаконтейнеры

                     |                  |                   |АК-1,5 или

                     |                  |                   |авиаподдоны

                     |                  |                   |ПАН-1,5,

                     |                  |                   |рольганговые

                     |                  |                   |стеллажи,

                     |                  |                   |контейнерный

                     |                  |                   |штабелер ШК-5,

                     |                  |                   |грузовая рампа.

                     |                  |                   |Авиаподдоны

                     |                  |                   |ПАн-3,0,

                     |                  |                   |рольганговые

                     |                  |                   |стеллажи,

                     |                  |                   |контейнерный

                     |                  |                   |штабелер ШК-5,

                     |                  |                   |грузовая рампа

 Загрузка            |                  |                   |
 авиаконтейнеров и   |                  |                   |
 авиаподдонов на     |                  |                   |
 транспортные        |                  |                   |
 средства для        |                  |                   |
 самолетов:          |                  |                   |
  Як-42              |Авиаконтейнеры    |Авиаконтейнеры     |Авиаконтейнеры

                     |АК-0,7, роликовые |АК-0,7, роликовые  |АК-0,7, роликовые

                     |дорожки РД-2,     |дорожки РД-2,      |дорожки РД-2,

                     |подъемно-         |подъемно-          |подъемно-

                     |комплектовочный   |комплектовочный    |комплектовочный

                     |стол ПКС-2А,      |стол ПКС-2А,       |стол ПКС-2А,

                     |тележки           |тележки            |тележки

                     |контейнерные      |контейнерные ТК-2А,|контейнерные ТК-2А,

                     |ТК-2А, тягач      |тягач              |тягач

                     |аккумуляторный    |аккумуляторный     |аккумуляторный

                     |типа АТБ-250 или  |типа АТБ-250 или   |типа АТБ-250 или

                     |автомобиль        |автомобиль УАЗ-469 |автомобиль УАЗ-469

                     |УАЗ-469 в качестве|в качестве тягача  |в качестве тягача

                     |тягача            |                   |
  Ил-86              |        -         |Авиаконтейнеры     |Авиаконтейнеры

                     |                  |АК-1,5 или         |АК-1,5 или

                     |                  |авиаподдоны        |авиаподдоны ПАН-1,5

                     |                  |ПАН-1,5, роликовые |и грузовая рампа,

                     |                  |дорожки РД-2,      |автомобиль с

                     |                  |подъемно-          |подъемной

                     |                  |комплектовочный    |платформой АПК-К

                     |                  |стол ПКС-2А,       |
                     |                  |автомобиль с       |
                     |                  |подъемной          |
                     |                  |платформой АПК-К.  |
                     |                  |Авиаподдоны        |Авиаподдоны

                     |                  |ПАН-3,0, роликовые |ПАН-3,0, грузовая

                     |                  |дорожки РД-2,      |рампа, автомобиль

                     |                  |подъемно-          |с подъемной

                     |                  |комплектовочный    |платформой АПК-К

                     |                  |стол ПКС-5,        |
                     |                  |автомобиль с       |
                     |                  |подъемной          |
                     |                  |платформой АПК-К   |
 Транспортировка     |                  |                   |
 авиаконтейнеров и   |                  |                   |
 авиаподдонов с      |                  |                   |
 грузом к самолетам: |                  |                   |
  Як-42              |Авиаконтейнеры    |Авиаконтейнеры     |Авиаконтейнеры

                     |АК-0,7, тележки   |АК-0,7, роликовые  |АК-0,7, тележки

                     |контейнерные      |дорожки РД-2,      |контейнерные ТК-2А,

                     |ТК-2А, тягач      |подъемно-          |тягач

                     |аккумуляторный    |комплектовочный    |аккумуляторный

                     |типа АТБ-250 или  |стол ПКС-2А,       |типа АТБ-250 или

                     |автомобиль УАЗ-469|тележки            |автомобиль УАЗ-469

                     |в качестве тягача |контейнерные ТК-2А,|в качестве тягача

                     |                  |тягач              |
                     |                  |аккумуляторный типа|
                     |                  |АТБ-250 или        |
                     |                  |автомобиль УАЗ-469 |
                     |        -         |в качестве тягача  |
  Ил-86              |                  |Авиаконтейнеры     |Авиаконтейнеры

                     |                  |АК-1,5 или         |АК-1,5 или

                     |                  |авиаподдоны        |авиаподдоны ПАН-

                     |                  |ПАН-1,5, автомобиль|ПАН-1,5, автомобиль

                     |                  |с подъемной        |с подъемной

                     |                  |платформой АПК-К   |платформой АПК-К

 Загрузка            |                  |                   |
 авиаконтейнеров и   |                  |                   |
 авиаподдонов с      |                  |                   |
 грузом в самолеты:  |                  |                   |
  Як-42              |Авиаконтейнеры    |Авиаконтейнеры     |Авиаконтейнеры

                     |АК-0,7, тележки   |АК-0,7, тележки    |АК-0,7, тележки

                     |контейнерные      |контейнерные ТК-2А;|контейнерные

                     |ТК-2А; тягач      |тягач              |ТК-2А; тягач

                     |аккумуляторный    |аккумуляторный типа|аккумуляторный

                     |типа АТБ-250 или  |АТБ-250 или        |типа АТБ-250 или

                     |автомобиль УАЗ-469|автомобиль УАЗ-469 |автомобиль УАЗ-469

                     |в качестве тягача,|в качестве тягача, |в качестве тягача,

                     |прицепной         |прицепной погрузчик|прицепной погрузчик

                     |погрузчик         |контейнеров ППК-2  |контейнеров ППК-2

                     |контейнеров ППК-2 |                   |
  Ил-86              |        -         |Авиаконтейнеры     |Авиаконтейнеры

                     |                  |АК-1,5 или         |АК-1,5 или

                     |                  |авиаподдоны ПАН-1,5|авиаподдоны ПАН-1,5

                     |                  |и ПАН-3,0,         |и ПАН-3,0,

                     |                  |автомобиль с       |автомобиль с

                     |                  |подъемной          |подъемной

                     |                  |платформой АПК-К   |платформой АПК-К

 

     Обработка груза, прибывающего россыпью пассажирскими воздушными судами

 

 Обработка груза на  |                  |                   |
 перроне             |                  |                   |
 Разгрузка груза на  |                  |                   |
 транспортные        |                  |                   |
 средства из         |                  |                   |
 самолетов:          |                  |                   |
  Ил-62, Ту-154,     |        -         |Автомобиль с       |Автомобиль с

  Ту-134             |                  |подъемной          |подъемной

                     |                  |платформой АПК-12  |платформой АПК-12

                     |                  |или АПК-10         |или АПК-10

  Як-40, Ан-24, Ан-2,|                  |                   |
  Л-410:             |                  |                   |
   способ 1          |Грузовые          |Грузовые           |Грузовые

                     |автомобили        |автомобили         |автомобили

                     |различных марок   |различных марок    |различных марок

   способ 2          |Модернизированные |Модернизированные  |Модернизированные

                     |прицепные грузовые|прицепные грузовые |прицепные грузовые

                     |тележки ТЛ-9,     |тележки ТЛ-9,      |тележки ТЛ-9,

                     |аккумуляторный    |аккумуляторный     |аккумуляторный

                     |тягач типа АТБ-250|тягач типа АТБ-250 |тягач типа АТБ-250

                     |или автомобиль    |или автомобиль     |или автомобиль

                     |типа УАЗ-469 в    |типа УАЗ-469 в     |типа УАЗ-469 в

                     |качестве тягача   |качестве тягача    |качестве тягача

 Транспортировка     |                  |                   |
 груза на склад от   |                  |                   |
 самолетов:          |                  |                   |
  Ил-62, Ту-154,     |        -         |Автомобиль с       |Автомобиль с

  Ту-134, Як-40,     |                  |подъемной          |подъемной

  Ан-24:             |                  |платформой АПК-12  |платформой АПК-12

                     |                  |или АПК-10         |или АПК-10

   способ 1          |Грузовые          |Грузовые           |Грузовые

                     |автомобили        |автомобили         |автомобили

                     |различных марок   |различных марок    |различных марок

   способ 2          |Модернизированные |Модернизированные  |Модернизированные

                     |прицепные грузовые|прицепные грузовые |прицепные грузовые

                     |тележки ТЛ-9,     |тележки ТЛ-9,      |тележки ТЛ-9,

                     |аккумуляторный    |аккумуляторный     |аккумуляторный

                     |тягач типа АТБ-250|тягач типа АТБ-250 |тягач типа АТБ-250

                     |или автомобиль    |или автомобиль     |или автомобиль

                     |УАЗ-469 в качестве|УАЗ-469 в качестве |УАЗ-469 в качестве

                     |тягача            |тягача             |тягача

 Обработка груза на  |                  |                   |
 складе              |                  |                   |
 Разгрузка груза с   |                  |                   |
 транспортных        |                  |                   |
 средств на складе   |                  |                   |
 для самолетов:      |                  |                   |
  Ил-62, Ту-154,     |        -         |Автомобиль с       |Автомобиль с

  Ту-134             |                  |подъемной          |подъемной

                     |                  |платформой АПК-12  |платформой АПК-12

                     |                  |или АПК-10,        |или АПК-10,

                     |                  |поддоны складские, |поддоны складские,

                     |                  |аккумуляторный     |аккумуляторный

                     |                  |погрузчик          |погрузчик

  Як-40, Ан-24:      |                  |                   |
   способ 1          |Грузовые          |Грузовые           |Грузовые

                     |автомобили        |автомобили         |автомобили

                     |различных марок,  |различных марок,   |различных марок,

                     |поддоны складские,|поддоны складские, |поддоны складские,

                     |аккумуляторный    |аккумуляторный     |аккумуляторный

                     |погрузчик         |погрузчик          |погрузчик

   способ 2          |Модернизированные |Модернизированные  |Модернизированные

                     |прицепные         |прицепные грузовые |прицепные грузовые

                     |грузовые тележки  |тележки ТЛ-9,      |тележки ТЛ-9,

                     |ТЛ-9, складские   |складские поддоны, |складские поддоны,

                     |поддоны,          |аккумуляторный     |аккумуляторный

                     |аккумуляторный    |погрузчик          |погрузчик

                     |погрузчик         |                   |
 Выбор адреса        |Складские поддоны,|Складские поддоны, |Дисплейный модуль,

 хранения, доставка  |аккумуляторный    |аккумуляторный     |электронно-

 складских поддонов  |погрузчик,        |погрузчик,         |вычислительная

 с грузом в зону     |стеллажи          |стеллажи.          |машина, складские

 хранения и установка|                  |Для грузооборота   |поддоны,

 в стеллажи          |                  |300 т/сут.:        |аккумуляторный

                     |                  |дисплейный модуль, |погрузчик,

                     |                  |электронно-        |кран-штабелер,

                     |                  |вычислительная     |стеллажи

                     |                  |машина, складские  |
                     |                  |поддоны,           |
                     |                  |аккумуляторный     |
                     |                  |погрузчик, кран-   |
                     |                  |штабелер, стеллажи |
 Доставка груза из   |Стеллажи,         |Стеллажи,          |Стеллажи,

 зоны хранения и     |складские поддоны,|складские поддоны, |складские поддоны,

 выдача получателю   |аккумуляторный    |аккумуляторный     |кран-штабелер,

                     |погрузчик         |погрузчик.         |аккумуляторный

                     |                  |Для грузооборота   |погрузчик

                     |                  |300 т/сут.:        |
                     |                  |стеллажи,          |
                     |                  |складские поддоны, |
                     |                  |кран-штабелер,     |
                     |                  |аккумуляторный     |
                     |                  |погрузчик          |
 Оформление ведомости|Пишущая машинка   |Дисплейный модуль, |Дисплейный модуль,

 прибывшего груза и  |                  |электронно-        |электронно-

 списание груза со   |                  |вычислительная     |вычислительная

 склада              |                  |машина, алфавитно- |машина, алфавитно-

                     |                  |цифровое устройство|цифровое устройство

 

                Обработка грузов, прибывающих в авиаконтейнерах

                 и на авиаподдонах грузовыми воздушными судами

 

 Разгрузка           |                  |                   |
 авиаконтейнеров и   |                  |                   |
 авиаподдонов на     |                  |                   |
 транспортные        |                  |                   |
 средства из         |                  |                   |
 самолетов:          |                  |                   |
  Ан-26Б             |Автопоезд-        |Автопоезд-         |Автопоезд-

                     |контейнеровоз     |контейнеровоз      |контейнеровоз

                     |АК-6, авиаподдоны |Ак-6, авиаподдоны  |АК-6, авиаподдоны

                     |ПАВ-2,5           |ПАВ-2,5            |ПАВ-2,5

 ИЛ-76Т:             |                  |                   |
   способ 1          |        -         |Прицепной погрузчик|Прицепной погрузчик

                     |                  |контейнеров ППК-5, |контейнеров ППК-5,

                     |                  |тележки            |тележки

                     |                  |контейнерные       |контейнерные

                     |                  |упрощенные ТКУ-2А, |упрощенные ТКУ-2А,

                     |                  |трактор,           |трактор,

                     |                  |авиаподдоны        |авиаподдоны

                     |                  |ПАВ-2,5, ПАВ-5,6   |ПАВ-2,5, ПАВ-5,6

                     |                  |или авиаконтейнеры |или авиаконтейнеры

                     |                  |УАК-2,5, УАК-5,6   |УАК-2,5, УАК-5,6

   способ 2          |        -         |Автопоезд-         |Автопоезд-

                     |                  |контейнеровоз АК-6,|контейнеровоз АК-6,

                     |                  |авиаподдоны        |авиаподдоны

                     |                  |ПАВ-2,5, ПАВ-5,6   |ПАВ-2,5, ПАВ-5,6

                     |                  |или авиаконтейнеры |или авиаконтейнеры

                     |                  |УАК-2,5, УАК-5     |УАК-2,5, УАК-5

  Ту-154С            |        -         |Автомобиль с       |Автомобиль с

                     |                  |подъемной          |подъемной

                     |                  |платформой АПК-К,  |платформой АПК-К,

                     |                  |авиаподдоны ПАВ-3,0|авиаподдоны ПАВ-3,0

 Транспортировка     |                  |                   |
 авиаконтейнеров и   |                  |                   |
 авиаподдонов с      |                  |                   |
 грузом на склад от  |                  |                   |
 самолетов:          |                  |                   |
  Ан-26Б             |Автопоезд-        |Автопоезд-         |Автопоезд-

                     |контейнеровоз     |контейнеровоз АК-6,|контейнеровоз АК-6,

                     |АК-6, авиаподдоны |авиаподдоны ПАВ-2,5|авиаподдоны ПАВ-2,5

                     |ПАВ-2,5           |                   |
  ИЛ-76Т:            |                  |                   |
   способ 1          |        -         |Тележки            |Тележки

                     |                  |контейнерные       |контейнерные

                     |                  |упрощенные ТКУ-2А, |упрощенные ТКУ-2А,

                     |                  |авиаконтейнеры     |трактор,

                     |                  |УАК-2,5 УАК-5 или  |авиаконтейнеры

                     |                  |авиаподдоны        |АУК-2,5, УАК-5 или

                     |                  |ПАВ-2,5, ПАВ-5,6   |авиаподдоны

                     |                  |                   |ПАВ-2,5, ПАВ-5,6

   способ 2          |        -         |Автопоезд-         |Автопоезд-

                     |                  |контейнеровоз АК-6,|контейнеровоз АК-6,

                     |                  |авиаконтейнеры     |авиаконтейнеры

                     |                  |УАК-2,5, УАК-5     |УАК-2,5, УАК-5 или

                     |                  |или авиаподдоны    |авиаподдоны

                     |                  |ПАВ-2,5, ПАВ-5,6   |ПАВ-2,5, ПАВ-5,6

  Ту-154С            |        -         |Автомобиль с       |Автомобиль с

                     |                  |подъемной          |подъемной

                     |                  |платформой АПК-К,  |платформой АПК-К,

                     |                  |авиаподдоны ПАВ-3,0|авиаподдоны ПАВ-3,0

 Разгрузка           |                  |                   |
 авиаконтейнеров и   |                  |                   |
 авиаподдонов с      |                  |                   |
 транспортного       |                  |                   |
 средства на складе  |                  |                   |
 и установка на      |                  |                   |
 хранение с          |                  |                   |
 самолетов:          |                  |                   |
  Ан-26Б             |Автопоезд-        |Автопоезд-         |Автопоезд-

                     |контейнеровоз     |контейнеровоз АК-6,|контейнеровоз АК-6,

                     |АК-6, подъемно-   |подъемно-          |грузовая рампа,

                     |комплектовочный   |комплектовочный    |контейнерный

                     |стол ПКС-5,       |стол ПКС-5,        |штабелер ШК-5,

                     |роликовые дорожки |роликовые дорожки  |рольганговые

                     |РД-2 или РД-5     |РД-2 или РД-5      |стеллажи,

                     |                  |                   |авиаподдоны ПАВ-2,5

  ИЛ-76Т:            |                  |                   |
   способ 1          |        -         |Тележки            |Тележки

                     |                  |контейнерные       |контейнерные

                     |                  |упрощенные ТКУ-2А, |упрощенные ТКУ-2А,

                     |                  |трактор,           |трактор, грузовая

                     |                  |подъемно-          |рампа, контейнерный

                     |                  |комплектовочный    |штабелер ШК-5,

                     |                  |стол ПКС-5,        |рольганговые

                     |                  |роликовые дорожки  |стеллажи,

                     |                  |РД-2 или РД-5,     |авиаконтейнеры

                     |                  |авиаконтейнеры     |УАК-2,5, УАК-5 или

                     |                  |УАК-2,5, УАК-5 или |авиаподдоны

                     |                  |авиаподдоны        |ПАВ-2,5, ПАВ-5,6

                     |                  |ПАВ-2,5, ПАВ-5,6   |
   способ 2          |        -         |Автопоезд-         |Автопоезд-

                     |                  |контейнеровоз АК-6,|контейнеровоз АК-6,

                     |                  |подъемно-          |грузовая рампа,

                     |                  |комплектовочный    |контейнерный

                     |                  |стол ПКС-5,        |штабелер ШК-5,

                     |                  |роликовые дорожки  |рольганговые

                     |                  |РД-2 или РД-5,     |стеллажи,

                     |                  |авиаконтейнеры     |авиаконтейнеры

                     |                  |УАК-2,5, УАК-5,6   |УАК-2,5, УАК-5 или

                     |                  |или авиаподдоны    |авиаподдоны

                     |                  |ПАВ-2,5, ПАВ-5,6   |ПАВ-2,5, ПАВ-5,6

  Ту-154с            |        -         |Автомобиль с       |Автомобиль с

                     |                  |подъемной          |подъемной

                     |                  |платформой АПК-К,  |платформой

                     |                  |подъемно-          |АПК-К, грузовая

                     |                  |комплектовочный    |рампа, контейнерный

                     |                  |стол ПКС-5,        |штабелер ШК-5,

                     |                  |роликовые дорожки  |рольганговые

                     |                  |РД-2 или РД-5,     |стеллажи,

                     |                  |авиаподдоны ПАВ-3,0|авиаподдоны ПАВ-3,0

 Доставка            |Складские поддоны,|Складские поддоны, |Складские поддоны,

 авиаконтейнеров или |аккумуляторный    |аккумуляторный     |аккумуляторный

 авиаподдонов с      |погрузчик,        |погрузчик,         |погрузчик,

 грузом и порожних   |авиаконтейнеры    |авиаконтейнеры     |авиаконтейнеры

 складских поддонов в|УАК-2,5 или       |УАК-2,5, УАК-5 или |УАК-2,5, УАК-5 или

 зону раскомплектации|авиаконтейнеры    |авиаподдоны        |авиаподдоны

 и укладка груза на  |УАК-2,5 или       |ПАВ-2,5, ПАВ-3,0,  |ПАВ-2,5, ПАВ-3,0,

 складские поддоны   |авиаподдоны       |ПАВ-5,6            |ПАВ-5,6,

                     |ПАВ-2,5           |                   |рольганговые

                     |                  |                   |стеллажи,

                     |                  |                   |контейнерный

                     |                  |                   |штабелер ШК-5,

                     |                  |                   |роликовые дорожки

                     |                  |                   |РД-2 или РД-5,

                     |                  |                   |подъемно-

                     |                  |                   |комплектовочный

                     |                  |                   |стол ПКС-5

 Доставка складских  |Аккумуляторный    |Аккумуляторный     |Аккумуляторный

 поддонов с грузом   |погрузчик,        |погрузчик,         |погрузчик,

 в зону хранения и   |складские         |складские поддоны, |кран-штабелер,

 установка на        |поддоны,          |стеллажи.          |складские поддоны,

 стеллажи            |стеллажи          |Для грузооборота   |стеллажи

                     |                  |300 т/сут.:        |
                     |                  |аккумуляторный     |
                     |                  |погрузчик,         |
                     |                  |кран-штабелер,     |
                     |                  |складские поддоны, |
                     |                  |стеллажи           |
 Доставка складских  |Стеллажи,         |Стеллажи, складские|Стеллажи,

 поддонов с грузом   |аккумуляторный    |поддоны,           |складские поддоны,

 из зоны хранения и  |погрузчик,        |аккумуляторный     |кран-штабелер,

 выдача получателю   |складские         |погрузчик.         |аккумуляторный

                     |поддоны           |Для грузооборота   |погрузчик

                     |                  |300 т/сут.:        |
                     |                  |стеллажи,          |
                     |                  |складские поддоны, |
                     |                  |кран-штабелер,     |
                     |                  |аккумуляторный     |
                     |                  |погрузчик          |
 Оформление ведомости|Пишущая машинка   |Дисплейный модуль, |Дисплейный модуль,

 прибывшего груза    |                  |электронно-        |электронно-

                     |                  |вычислительная     |вычислительная

                     |                  |машина, алфавитно- |машина, алфавитно-

                     |                  |цифровое печатающее|цифровое печатающее

                     |                  |устройство         |устройство

 

                 Обработка грузов, прибывающих в авиаконтейнерах

                и на авиаподдонах пассажирскими воздушными судами

 

 Разгрузка           |                  |                   |
 авиаконтейнеров и   |                  |                   |
 авиаподдонов с      |                  |                   |
 грузом на           |                  |                   |
 транспортные        |                  |                   |
 средства из         |                  |                   |
 самолетов:          |                  |                   |
  Як-42              |Прицепной         |Прицепной погрузчик|Прицепной погрузчик

                     |погрузчик         |контейнеров ППК-2, |контейнеров ППК-2,

                     |контейнеров ППК-2,|тележки            |тележки

                     |тележки           |контейнерные ТК-2А,|контейнерные ТК-2А,

                     |контейнерные      |тягач              |тягач

                     |ТК-2А, тягач      |аккумуляторный     |аккумуляторный

                     |аккумуляторный    |типа АТБ-150 или   |типа АТБ-250 или

                     |типа АТБ-250 или  |автомобиль УАЗ-469 |автомобиль УАЗ-469

                     |автомобиль УАЗ-469|в качестве тягача, |в качестве тягача,

                     |в качестве тягача,|авиаконтейнеры     |авиаконтейнеры

                     |авиаконтейнеры    |АК-0,7             |АК-0,7

                     |АК-0,7            |                   |
  Ил-86              |        -         |Автомобиль с       |Автомобиль с

                     |                  |подъемной          |подъемной

                     |                  |платформой АПК-К,  |платформой АПК-К,

                     |                  |авиаконтейнеры     |авиаконтейнеры

                     |                  |АК-1,5 или         |АК-1,5 или

                     |                  |авиаподдоны        |авиаподдоны

                     |                  |ПАН-1,5, ПАН-3,0   |ПАН-1,5, ПАН-3,0

 Транспортировка     |                  |                   |
 авиаконтейнеров и   |                  |                   |
 авиаподдонов с      |                  |                   |
 грузом на склад от  |                  |                   |
 самолетов:          |                  |                   |
  Як-42              |Тележки           |Тележки            |Тележки

                     |контейнерные      |контейнерные       |контейнерные

                     |ТК-2А, тягач      |ТК-2А, тягач       |ТК-2А, тягач

                     |аккумуляторный    |аккумуляторный     |аккумуляторный

                     |типа АТБ-250 или  |типа АТБ-250 или   |типа АТБ-250 или

                     |автомобиль УАЗ-469|автомобиль УАЗ-469 |автомобиль УАЗ-469

                     |в качестве тягача,|в качестве тягача, |в качестве тягача,

                     |авиаконтейнер     |авиаконтейнер      |авиаконтейнер

                     |АК-0,7            |АК-0,7             |АК-0,7

  Ил-86              |         -        |Автомобиль с       |Автомобиль с

                     |                  |подъемной          |подъемной

                     |                  |платформой АПК-К,  |платформой АПК-К,

                     |                  |авиаконтейнеры     |авиаконтейнеры

                     |                  |АК-1,5 или поддоны |АК-1,5 или поддоны

                     |                  |ПАН-1,5, ПАН-3,0   |ПАН-1,5, ПАН-3,0

 Разгрузка           |                  |                   |
 авиаконтейнеров и   |                  |                   |
 авиаподдонов с      |                  |                   |
 грузом на складе,   |                  |                   |
 доставка и установка|                  |                   |
 их в зоне хранения с|                  |                   |
 самолетов:          |                  |                   |
  Як-42              |Тягач             |Тягач              |Тягач

                     |аккумуляторный    |аккумуляторный     |аккумуляторный

                     |типа АТБ-250 или  |типа АТБ-250 или   |типа АТБ-250 или

                     |автомобиль УАЗ-469|автомобиль УАЗ-469 |автомобиль УАЗ-469

                     |в качестве тягача,|в качестве тягача, |в качестве тягача,

                     |тележки           |тележки            |тележки

                     |контейнерные      |контейнерные ТК-2А,|контейнерные ТК-2А,

                     |ТК-2А, подъемно-  |подъемно-          |подъемно-

                     |комплектовочный   |комплектовочный    |комплектовочный

                     |стол ПКС-2А,      |стол ПКС-2А,       |стол ПКС-2А,

                     |роликовые дорожки |роликовые дорожки  |роликовые дорожки

                     |РД-2,             |РД-2,              |РД-2, контейнерный

                     |авиаконтейнеры    |авиаконтейнеры     |штабелер ШК-5,

                     |АК-0,7            |АК-0,7             |рольганговые

                     |                  |                   |стеллажи,

                     |                  |                   |авиаконтейнеры

                     |                  |                   |АК-0,7

 Ил-86               |         -        |Авиаконтейнеры     |Авиаконтейнеры

                     |                  |АК-1,5 или         |АК-1,5 или

                     |                  |авиаподдоны        |авиаподдоны

                     |                  |ПАН-1,5, автомобиль|ПАН-1,5, ПАН-3,0,

                     |                  |с подъемным кузовом|автомобиль с

                     |                  |АПК-К, подъемно-   |подъемной

                     |                  |комплектовочный    |платформой АПК-К,

                     |                  |стол ПКС-2А,       |грузовая рампа,

                     |                  |роликовые дорожки  |контейнерный

                     |                  |РД-2, авиаподдоны  |штабелер ШК-5,

                     |                  |ПАВ-3,0, автомобиль|рольганговые

                     |                  |с подъемной        |стеллажи

                     |                  |платформой АПК-К,  |
                     |                  |подъемно-          |
                     |                  |комплектовочный    |
                     |                  |стол ПКС-5,        |
                     |                  |роликовые дорожки  |
                     |                  |РД-2               |
 Доставка            |Складские поддоны,|Складские поддоны, |Авиаконтейнеры

 авиаконтейнеров,    |аккумуляторный    |аккумуляторный     |АК-0,7, АК-1,5 или

 авиаподдонов с      |погрузчик         |погрузчик          |авиаподдоны

 грузом и порожних   |                  |                   |ПАН-1,5,

 складских поддонов  |                  |                   |рольганговые

 из зоны хранения в  |                  |                   |стеллажи,

 зону раскомплектации|                  |                   |контейнерный

 и укладка груза на  |                  |                   |штабелер ШК-5,

 складские поддоны   |                  |                   |роликовые дорожки

                     |                  |                   |РД-2, подъемно-

                     |                  |                   |комплектовочный

                     |                  |                   |стол ПКС-2А,

                     |                  |                   |складские поддоны,

                     |                  |                   |аккумуляторный

                     |                  |                   |погрузчик.

                     |                  |                   |Авиаподдоны

                     |                  |                   |ПАН-3,0,

                     |                  |                   |рольганговые

                     |                  |                   |стеллажи,

                     |                  |                   |контейнерный

                     |                  |                   |штабелер ШК-5,

                     |                  |                   |роликовые дорожки

                     |                  |                   |РД-2, подъемно-

                     |                  |                   |комплектовочный

                     |                  |                   |стол ПКС-5,

                     |                  |                   |складские поддоны,

                     |                  |                   |аккумуляторный

                     |                  |                   |погрузчик

 Выбор адреса        |Аккумуляторный    |Аккумуляторный     |Дисплейный модуль,

 хранения, доставка  |погрузчик,        |погрузчик,         |электронно-

 складских поддонов с|складские         |складские поддоны, |вычислительная

 грузом в зону       |поддоны, стеллажи |стеллажи.          |машина,

 хранения и установка|                  |Для грузооборота   |аккумуляторный

 в стеллажи          |                  |300 т/сут.:        |погрузчик,

                     |                  |дисплейный модуль, |кран-штабелер,

                     |                  |электронно-        |складские поддоны,

                     |                  |вычислительная     |стеллажи

                     |                  |машина,            |
                     |                  |аккумуляторный     |
                     |                  |погрузчик,         |
                     |                  |кран-штабелер,     |
                     |                  |складские поддоны, |
                     |                  |стеллажи           |
 Доставка складских  |Стеллажи,         |Стеллажи, складские|Стеллажи,

 поддонов с грузом   |складские поддоны,|поддоны,           |складские поддоны,

 из зоны хранения и  |аккумуляторный    |аккумуляторный     |кран-штаблер,

 выдача получателю   |погрузчик         |погрузчик.         |аккумуляторный

                     |                  |Для грузооборота   |погрузчик

                     |                  |300 т/сут.:        |
                     |                  |стеллажи,          |
                     |                  |складские поддоны, |
                     |                  |аккумуляторный     |
                     |                  |погрузчик          |
                     |                  |                   |
 Оформление          |Пишущая машинка   |Дисплейный модуль, |Дисплейный

 ведомости           |                  |электронно-        |модуль,

 прибывшего груза и  |                  |вычислительная     |электронно-

 списание груза со   |                  |машина, алфавитно- |вычислительная

 склада              |                  |цифровое печатающее|машина,

                     |                  |устройство         |алфавитно-

                     |                  |                   |цифровое

                     |                  |                   |печатающее

                     |                  |                   |устройство

 

9. ОБЪЕМНО-ПЛАНИРОВОЧНЫЕ РЕШЕНИЯ СТЕЛЛАЖНОГО

И КОНТЕЙНЕРНОГО СКЛАДОВ (к разделу 4 ВНТП 5-85/МГА)

 

9.1. В соответствии с ОНТП 01-77 Госснаба СССР складские здания (складская часть) должны проектироваться одноэтажными. Объемно-планировочные решения складских зданий, несущие и ограждающие конструкции, размеры проездов и шаг колонн должны соответствовать требованиям главы СНиП по проектированию производственных зданий промышленных предприятий.

9.2. Объемно-планировочные решения стеллажного склада должны предусматривать возможность его использования для обработки и хранения грузов, уложенных на складские поддоны в многоярусных стеллажах, а контейнерного склада - для комплектовки-раскомплектовки и хранения грузов, уложенных в авиационные грузовые и багажные контейнеры, на самолетные жесткие и гибкие поддоны в двухъярусных стеллажах и обеспечивать: применение наиболее прогрессивных способов складирования, расположения стеллажей и методов организации комплексной механизации погрузочно-разгрузочных работ; уменьшение числа различных типов и мощностей оборудования для механизации грузовых операций с одновременным сохранением достаточной гибкости в его использовании; возможность расширения с учетом перспективного развития аэропорта.

9.3. При определении размеров стеллажного склада за основу следует принимать условную грузовую единицу (пакет) размерами 800 x 1200 x 800 мм и объемом 0,768 м3, а для мелких партий грузов пакет размерами 400 x 1200 x 800 мм и объемом 0,384 м3.

Для контейнерного склада за условные грузовые единицы следует принимать:

авиационный контейнер УАК-5 размерами 2991 x 2438 x 1900 мм и объемом 14,2 м3;

жесткий поддон ПАВ-2,5 размерами 1456 x 2438 x 1900 мм и объемом 4,75 м3;

багажный контейнер АК-1,5 размерами 2007 x 1562 x 1534 мм и объемом 4,4 м3.

9.4. Для стеллажных одноэтажных складов рекомендуются следующие пролеты складских зданий: 12, 18 и 24 м, а также 2 x 18, 2 x 24, 3 x 18, 3 x 24 м. Общесоюзными нормами технологического проектирования складов тарно-штучной продукции (ОНТП 01-77) определена высота от пола до низа несущих конструкций покрытия: 6,0; 7,2; 8,2; 10,8; 12,6; 14,4; 16,2; 18 м.

9.5. При проектировании грузовых комплексов следует, в первую очередь, определить наиболее рациональные параметры - длину и высоту стеллажей в зоне работы одного механизма, так как они оказывают влияние на объемно-планировочные и конструктивные решения складских помещений. Третий параметр - ширина стеллажа существенного влияния на параметры зоны хранения грузов не оказывает.

9.6. Под рациональными параметрами зоны работы одного механизма принимается правильно выбранное соотношение длины и высоты стеллажа, т.е. зоны его работы, позволяющее достичь максимального числа обслуживаемых ячеек, наилучшей перерабатывающей способности механизма, а иногда и лучших объемно-планировочных показателей всей зоны обработки и складирования грузов.

При проектировании стеллажных складов грузовых комплексов соотношение параметров стеллажей (длины, ширины и высоты) и количество обслуживаемых ячеек одним механизмом при использовании автоматических кранов-штабелеров и электропогрузчиков следует принимать по табл. 13.

 

Таблица 13

 

------------------+------------+-------+------------+-------------

     Средства     |Соотношение |Кол-во |Рациональная|Рациональное

    механизации   | параметров |ярусов,|   длина    |кол-во ячеек,

                  | стеллажей: |  шт.  |стеллажей, м|     шт.

                  |  длины L,  |       |            |
                  |  ширины B, |       |            |
                  |  высоты H  |       |            |
------------------+------------+-------+------------+-------------

         1        |      2     |   3   |     4      |      5

------------------+------------+-------+------------+-------------

                  |L   1,6  3,4|       |            |
 Стеллажные       |- = ---; ---| 6 - 8 |  30 - 24   |  288 - 256

 краны-штабелеры  |H    1    1 |       |            |
 автоматические   |            |       |            |
                  |L   8  L   1|       |            |
 Электропогрузчики|- = -; - = -|   4   |     36     |     192

                  |H   1  B   1|       |  (2 x 18)  |
                  | h <= 50 м  |       |            |

 

9.7. Принципиальные схемы грузовых потоков, размещения оборудования, средств механизации и складских помещений по группам грузовых комплексов приведены на рис. 13 - 19.

 

Пособие по проектированию грузовых комплексов аэропортов (к ВНТП 5-85/МГА) (утв. МГА СССР 27.05.1986)

 

Рис. 13. Принципиальная схема грузовых потоков, размещения

оборудования, средств механизации и складских помещений

в грузовых комплексах с суточным грузооборотом 400 т

с использованием электропогрузчиков (вариант 1):

A - стеллажный склад; Б - контейнерный склад; В - эстакада

для длинномерных и тяжеловесных грузов; Г - помещение

для грузов, требующих охлаждения; Д - помещение для грузов,

не требующих охлаждения; Е - помещение для хранения

скоропортящихся грузов (вакцин, биопрепаратов); 1 - весы

циферблатные; 2 - стеллаж; 3 - мостовой кран;

4 - рольганговые стеллажи; 5 - подъемно-комплектовочный

стол ПКС-5; 6 - подъемно-комплектовочный стол ПКС-2А;

7 - грузовая рампа; 8 - аккумуляторный погрузчик

 

Пособие по проектированию грузовых комплексов аэропортов (к ВНТП 5-85/МГА) (утв. МГА СССР 27.05.1986)

 

Рис. 14. Принципиальная схема грузовых потоков, размещения

оборудования, средств механизации и складских помещений

в грузовых комплексах с суточным грузооборотом 400 т

с использованием электропогрузчиков (вариант 2):

А - стеллажный склад, Б - контейнерный склад; В - эстакада

для длинномерных и тяжеловесных грузов; Г - помещение

для грузов, требующих охлаждения; Д - помещение для грузов,

не требующих охлаждения; Е - помещение для хранения

скоропортящихся грузов (вакцин, биопрепаратов);

1 - весы циферблатные; 2 - стеллаж; 3 - мостовой кран;

4 - рольганговые стеллажи; 5 - подъемно-комплектовочный

стол; 6 - рольганговые стеллажи; 7 - грузовая рампа;

8 - электропогрузчик аккумуляторный

 

Пособие по проектированию грузовых комплексов аэропортов (к ВНТП 5-85/МГА) (утв. МГА СССР 27.05.1986)

 

Рис. 15. Принципиальная схема грузовых потоков, размещения

оборудования, средств механизации и складских помещений

в грузовых комплексах с суточным грузооборотом 400 т

с использованием автоматических кранов-штабелеров:

А - стеллажный склад; Б - контейнерный склад; В - эстакада

для длинномерных и тяжеловесных грузов; Г - помещение

для грузов, требующих охлаждения; Д - помещение для грузов,

не требующих охлаждения; Е - помещение для хранения

скоропортящихся грузов (вакцин, биопрепаратов); 1 - весы

циферблатные; 2 - стеллаж; 3 - мостовой кран;

4 - рольганговые стеллажи; 5 - подъемно-комплектовочный

стол ПКС-5; 6 - подъемно-комплектовочный стол ПКС-2А;

7 - грузовая рампа; 8 - кран-штабелер контейнерный;

9 - кран-штабелер с автоматическим управлением

 

Пособие по проектированию грузовых комплексов аэропортов (к ВНТП 5-85/МГА) (утв. МГА СССР 27.05.1986)

 

Рис. 16. Принципиальная схема грузовых потоков, размещения

оборудования, средств механизации и складских помещений

в грузовых комплексах с суточным грузооборотом 300 т

с использованием электропогрузчиков: А - стеллажный склад;

Б - контейнерный склад; В - эстакада для длинномерных

и тяжеловесных грузов; Г - помещение для грузов,

не требующих охлаждения; Д - помещение для грузов,

требующих охлаждения; Е - помещение для хранения

скоропортящихся грузов; Ж - склад ценных грузов;

И - административно-служебные помещения; 1 - весы

циферблатные; 2 - стеллаж; 3 - аккумуляторный погрузчик;

4 - роликовые дорожки РД-2; 5 - весы автомобильные

передвижные; 6 - подъемно-комплектовочный стол ПКС-5;

7 - подъемно-комплектовочный стол ПКС-2А; 8 - мостовой кран

грузоподъемностью 10 т; 9 - мостовой кран

грузоподъемностью 5 т

 

Пособие по проектированию грузовых комплексов аэропортов (к ВНТП 5-85/МГА) (утв. МГА СССР 27.05.1986)

 

Рис. 17. Принципиальная схема грузовых потоков, размещения

оборудования, средств механизации и складских помещений

в грузовых комплексах с суточным грузооборотом 70 т:

А - стеллажный склад; Б - помещение для грузов, требующих

охлаждения; В - помещение для грузов, не требующих

охлаждения; Г - помещение для хранения живых грузов,

растений; Д - склад опасных грузов; Ж - эстакада

для хранения длинномерных и тяжеловесных грузов;

И - административно-служебные помещения; 1 - весы

циферблатные; 2 - аккумуляторный погрузчик; 3 - стеллаж;

4 - роликовая дорожка РД-2; 5 - подъемно-комплектовочный

стол ПКС-2А; 6 - автопоезд-контейнеровоз АК-6; 7 - поезд

грузовых тележек ТК-2А; 8 - мостовой кран

грузоподъемностью 5 т

 

Пособие по проектированию грузовых комплексов аэропортов (к ВНТП 5-85/МГА) (утв. МГА СССР 27.05.1986)

 

Рис. 18. Принципиальная схема грузовых потоков, размещения

оборудования, средств механизации и складских помещений

в грузовых комплексах с суточным грузооборотом 30 т;

А - стеллажный склад; Б - помещение для грузов, требующих

охлаждения; В - помещение для грузов, не требующих

охлаждения; Г - помещение для хранения живых грузов;

Г - помещение для хранения скоропортящихся грузов

(вакцин, биопрепаратов); Д - склад ценных грузов;

Ж - административно-служебные помещения; 1 - весы

циферблатные; 2 - аккумуляторный погрузчик; 3 - стеллаж;

4 - роликовая дорожка РД-2; 5 - подъемно-комплектовочный

стол ПКС-2А; 6 - автопоезд-контейнеровоз АК-6; 7 - поезд

грузовых тележек ТК-2А; 8 - автомобиль с подъемной

платформой АПК-10, АПК-12; 9 - мостовой кран

грузоподъемностью 5 т

 

Пособие по проектированию грузовых комплексов аэропортов (к ВНТП 5-85/МГА) (утв. МГА СССР 27.05.1986)

 

Рис. 19. Принципиальная схема грузовых потоков, размещения

оборудования, средств механизации и складских помещений

в грузовых комплексах северной климатической зоны:

А - стеллажный склад; Б - контейнерный склад; В - эстакада

для длинномерных и тяжеловесных грузов; Г - склад ценных

грузов; Д - склад радиоактивных грузов; Е - помещение

для хранения скоропортящихся грузов; Ж - помещение

для хранения вакцин и биопрепаратов; И - помещение

для хранения живых грузов; К - административно-служебные

помещения; 1 - весы передвижные рычажные; 2 - стеллаж;

3 - подъемно-комплектовочный стол ПКС-5; 4 - роликовая

дорожка РД-5; 5 - подъемно-комплектовочный стол ПКС-2А;

6 - роликовая дорожка РД-2; 7 - мостовой кран

грузоподъемностью 10 т; 8 - мостовой кран

грузоподъемностью 16 т

 

10. ГРУЗОВЫЕ ДВОРЫ (к разделу 5 ВНТП 5-85/МГА)

 

10.1. На размеры грузового двора оказывают влияние следующие факторы:

грузооборот грузового комплекса;

количество погрузочно-разгрузочных мест (постов) со стороны города и перрона;

габаритные размеры автомашины расчетной грузоподъемности;

нормативные расстояния между стоящими и движущимися автомашинами;

коэффициенты, учитывающие режимно-охранное обеспечение, благоустройство и озеленение.

10.2. Ориентировочное количество мест погрузки-разгрузки для соответствующих групп грузовых комплексов, зависящее от расчетной грузоподъемности автомашины, нормы времени погрузочно-разгрузочных работ и интенсивности потока автотранспорта приведены в табл. 14.

 

Таблица 14

 

---------+--------+---------+----------+-------+-------+---------+-------+---------+--------+---------+----------+----------+-----------

 Группа  |Норма-  |Расчетный|   Тип    |Доля   |Средняя|Интенсив-|Норма  |Интенсив-|Коэффи- |Оптималь-|Потребное |Округлен- |Фактический

грузового|тивный  |часовой  |автомашины|перево-|загруз-|ность по-|времени|ность    |циент   |ный коэф-|количество|ное коли- |коэффициент

комплекса|суточный|грузопо- |          |зимых  |ка ав- |тока ав- |погруз-|обслужи- |вариации|фициент  |мест      |чество    |использова-

         |грузо-  |ток стел-|          |грузов,|томаши-|тотранс- |ки-раз-|вания    |времени |использо-|разгрузки-|мест      |ния места

         |оборот  |лажного  |          |%      |ны, т  |порта,   |грузки,|места    |обслужи-|вания    |погрузки, |погрузки- |разгрузки

         |грузово-|склада, т|          |       |       |ед./ч    |ч      |разгрузки|вания   |системы  |шт.       |разгрузки,|
         |го комп-|         |          |       |       |         |       |за 1 ч,  |        |(места   |          |шт.       |
         |лекса, т|         |          |       |       |         |       |шт./ч    |        |разгруз- |          |          |
         |        |         |          |       |       |         |       |         |        |ки)      |          |          |
---------+--------+---------+----------+-------+-------+---------+-------+---------+--------+---------+----------+----------+-----------

  ГОРОД  |        |         |          |       |       |         |       |         |        |         |          |          |
    I    |   30   |  10,0   | ГАЗ-53А  | 100   |  2,0  |   5     | 0,33  |   3     |  0,86  |  0,60   |   2,78   |    2     |   0,83

         |   70   |  20,0   | ГАЗ-53А  | 100   |  2,0  |  10     | 0,33  |   3     |  0,86  |  0,60   |   5,5    |    5     |   0,67

   II    |  150   |  32,0   | ГАЗ-53А  |  50,0 |  2,0  |   8     | 0,33  |   3     |  0,81  |  0,61   |   4,3    |    4     |   0,67

         |        |         | ЗИЛ-130  |  50,0 |  4,0  |   4     | 0,40  |   2,5   |  0,81  |  0,59   |   2,7    |    2     |   0,80

         |  300   |  54,0   | ГАЗ-53А  |  50,0 |  2,0  |  13     | 0,33  |   3     |  0,81  |  0,61   |   7,1    |    7     |   0,62

         |        |         | ЗИЛ-130  |  50,0 |  4,0  |   7     | 0,40  |   2,5   |  0,81  |  0,59   |   4,7    |    4     |   0,70

   III   |  400   |  70,0   | ГАЗ-53А  |  40,0 |  2,0  |  14     | 0,33  |   3     |        |  0,60   |   7,7    |    8     |   0,62

         |        |         | ЗИЛ-130  |  40,0 |  4,0  |   7     | 0,40  |   2,5   |  0,85  |  0,59   |   5,0    |    5     |   0,59

         |        |         |ЗИЛ-130В-1|  20,0 |  8,0  |   1,7   | 0,50  |   2     |        |  0,63   |   0,8    |    1,0   |   0,85

         |        |         |с ОДАЗ-885|       |       |         |       |         |        |         |          |          |
 ПЕРРОН  |        |         |          |       |       |         |       |         |        |         |          |          |
    I    |   30   |   8,1   | АПК-12   | 100   |  1,0  |   8,1   | 0,32  |   3,1   |  0,80  |  0,65   |   4,02   |    4     |   0,65

         |   70   |  16,3   | АПК-12   | 100   |  1,5  |  12,0   | 0,32  |   3,1   |  0,80  |  0,65   |   5,95   |    6     |   0,65

   II    |  150   |  23,4   | АПК-12   |  50,0 |  2    |   5,8   | 0,32  |   3,1   |  0,84  |  0,64   |   2,88   |    3     |   0,62

         |        |         | АПК-10к  |  50,0 |  3    |   3,9   | 0,33  |   3,0   |        |  0,62   |   2,09   |    2     |   0,65

         |  300   |  37     | АПК-12   |  25   |  2    |   4,6   | 0,32  |   3,1   |        |  0,64   |   2,3    |    3     |   0,49

         |        |         | АПК-10к  |  50   |  3    |   6,2   | 0,33  |   3,0   |  0,84  |  0,62   |   2,33   |    4     |   0,52

         |        |         | Тягач с  |  25   | 15    |   1,0   | 0,33  |   3,0   |        |  0,54   |   1,01   |    1     |   0,60

         |        |         |тележками |       |       |         |       |         |        |         |          |          |
   III   |  400   |  38     | АПК-12   |  20   |  2    |   3,8   | 0,32  |   3,1   |  0,91  |  0,63   |   1,9    |    2     |   0,61

         |        |         | АПК-10к  |  40   |  3    |   5,0   | 0,33  |   3     |        |  0,62   |   2,6    |    3     |   0,55

         |        |         | Тягач с  |  40   | 15    |   1,04  | 0,33  |   3     |        |  0,54   |   0,64   |    1     |   0,35

         |        |         |тележками |       |       |         |       |         |        |         |          |          |

 

Нормы времени на выполнение погрузочно-разгрузочных работ приведены в табл. 15.

 

Таблица 15

 

-------------------------------------+-----------------+-------------------

     Грузоподъемность автомобиля     | Основные нормы  |  Дополнительное

            (автопоезда), т          |   времени при   |     время при

                                     |механизированном | механизированном

                                     |способе погрузки-|      способе

                                     | разгрузки, мин  |погрузки-разгрузки,

                                     +----------+------+        мин

                                     |Навалочные|Прочие|
                                     |  грузы,  |грузы |
                                     | включая  |      |
                                     | вязкие и |      |
                                     |полувязкие|      |
-------------------------------------+----------+------+-------------------

 В пунктах погрузки:                 |          |      |
  до 1,5 т включительно              |     4    |   9  |         10

  свыше  1,5 до  2,5 включительно    |     5    |  10  |         10

  -"-    2,5 до  4   -"-             |     6    |  12  |         12

  -"-    4   до  7   -"-             |     7    |  15  |         14

  -"-    7   до 10   -"-             |     8    |  20  |         17

  -"-   10   до 15   -"-             |    10    |  25  |         50

  свыше 15 т                         |    15    |  30  |         22

 В пунктах разгрузки (кроме          |          |      |
 автосамосвалов):                    |          |      |
  до 1,5 т включительно              |     4    |   9  |          4

  свыше  1,5 до  2,5 включительно    |     5    |  10  |          5

  -"-    2,5 до  4   -"-             |     6    |  12  |          6

  -"-    4   до  7   -"-             |     7    |  15  |          7

  -"-    7   до 10   -"-             |     8    |  20  |          8

  -"-   10   до 15   -"-             |    10    |  25  |          9

  свыше 15 т                         |    15    |  30  |         10

 

Примечания: 1. Нормы времени на выполнение погрузочно-разгрузочных работ установлены 24.05.67 управлением Мострансэкспедиции, N МГЭ (9) 11.

2. Нормы времени на выполнение погрузочно-разгрузочных работ в пунктах погрузки и разгрузки автомобиля типа фургон устанавливаются с повышением на 10%.

3. При немеханизированном способе производства погрузочно-разгрузочных работ общие нормы времени на их выполнение в пунктах погрузки и разгрузки определяются как сумма основных норм и дополнительного времени.

4. Нормы времени на взвешивание или перевеску груза на десятичных и сотенных весах: 9 мин для автомобиля (автопоезда) грузоподъемностью до 4 т включительно, 13 мин - для автомобиля (автопоезда) грузоподъемностью свыше 4 до 7 т включительно и 18 мин - для автомобиля грузоподъемностью свыше 7 т.

Величина погрузочно-разгрузочного фронта при поточной Рисунок 468и торцовой расстановке Рисунок 469определяется по формулам

 

Рисунок 470; (54)

 

Рисунок 471, (55)

 

где l - габаритная длина автомашины или автопоезда, м;

b - габаритная ширина автомашины, м;

n - число погрузочно-разгрузочных мест;

Рисунок 472; Рисунок 473- расстояния между соседними автомашинами при поточном и торцовом способах расстановки автотранспорта, м.

 

10.3. Под термином "погрузочно-разгрузочный фронт" понимается общая длина всех погрузочно-разгрузочных мест (постов).

Величина погрузочно-разгрузочного фронта зависит от способа расстановки автотранспорта.

Наиболее распространенными способами являются поточная и торцовая расстановка автотранспорта по погрузочно-разгрузочному фронту.

10.4. Расстановка, при которой один из боковых бортов автомобиля обращен в сторону склада, является удобной при эксплуатации автомашин с прицепами, а также при погрузке-выгрузке длинномерных грузов.

Торцовая расстановка автомашин, при которой в сторону склада обращен задний борт, предпочтительна для эксплуатации автомашины без прицепа и менее удобна с прицепами.

Схема торцовой расстановки и проездов автотранспорта у грузового склада приведена на рис. 20.

 

Пособие по проектированию грузовых комплексов аэропортов (к ВНТП 5-85/МГА) (утв. МГА СССР 27.05.1986)

 

Рис. 20. Схема расстановки и проездов

автотранспорта у здания грузового склада:

Рисунок 475- расчетная ширина покрытия грузового двора со стороны

города или перрона; b - ширина расчетного типа автомашины;

l - длина расчетного типа автомашины; C - нормативное

расстояние от автомашины до рампы склада (C = 0,2 м);

Рисунок 476- нормативное расстояние от движущейся до стоящей у рампы

автомашины или от движущейся автомашины до границы проезда

Рисунок 477

 

10.5. Длина расчетного типа автомашины определяется по формуле

 

l = l' + l", (56)

 

где l' - расстояние от оси заднего колеса до заднего борта автомашины, м;

l" - расстояние от оси заднего колеса до переднего бампера, м.

10.6. Основные параметры грузового двора определяются следующим образом: расстояние между соседними автомашинами при торцовом способе расстановки у здания склада Рисунок 478рассчитывается по формуле

 

Рисунок 479, (57)

 

где Рисунок 480- внутренний радиус поворота автомашины, м;

b - ширина расчетного типа автомашины, м.

При необходимости уменьшения величины Рисунок 481расстояние, на которое нужно подать вперед выезжающую автомашину Рисунок 482, увеличивается и может быть больше C (нормативного расстояния от автомашины до рампы склада), оно определяется по формуле

 

Рисунок 483, (58)

 

где l" - расстояние от оси заднего колеса до переднего бампера, м;

Рисунок 484- нормативное расстояние от движущейся автомашины до стоящей у рампы, м.

Наименьший габаритный коридор автомашины Рисунок 485определяется по формуле

 

Рисунок 486, (59)

 

где Рисунок 487- наружный радиус поворота автомашины, м;

Рисунок 488- внутренний радиус поворота автомашины, м.

Минимальная ширина покрытия территории грузового двора у здания склада Рисунок 489определяется по формуле

 

Рисунок 490, (60)

 

где C - минимальное расстояние от автомашины до рампы склада, м.

При увеличении количества проездов к минимальной ширине покрытия Рисунок 491прибавляется величина Рисунок 492на каждый проезд.

10.7. Территория грузового двора включает в себя три зоны:

зону A - территорию, расположенную со стороны летного поля и предназначенную для движения специализированного автотранспорта, обеспечивающего погрузку-разгрузку и транспортировку грузов от склада до самолета;

зону B - территорию, расположенную со стороны города и предназначенную для движения и расстановки автотранспорта, обеспечивающего погрузку-разгрузку грузов, вывозимых в город и завозимых из города;

зону C - территорию, расположенную с торцов основного здания грузового комплекса, предназначенную для проезда автотранспорта, размещения специализированных складов и сооружений.

Площадь покрытия со стороны города и перрона зависит от геометрических параметров склада (его длины и ширины), расчетного типа автомашин и способа расстановки автотранспорта у склада.

10.8. Общая площадь территории грузового двора Рисунок 493определяется по формуле

 

Рисунок 494, (61)

 

где L - длина грузового склада или сблокированных складских зданий и сооружений, м;

Рисунок 495- ширина зоны А, м;

Рисунок 496- ширина зоны В, м;

Рисунок 497- ширина зоны С, м;

Рисунок 498- ширина рампы, м;

B - ширина склада или сблокированных складских зданий и сооружений, м;

Рисунок 499- коэффициент, учитывающий озеленение и благоустройство территории грузового комплекса;

Рисунок 500- коэффициент, учитывающий режимно-охранное обеспечение.

Ширина зоны C Рисунок 501в случае, когда на ее территории не располагается никаких специализированных складов и сооружений, определяется по формуле

 

Рисунок 502. (62)

 

В случае, когда на территории зоны C располагаются склады и сооружения, площадь территории грузового двора определяется аналогичным образом с учетом размещенных на ней специализированных складов и сооружений.

10.9. Рекомендуемая ширина зон Рисунок 503, Рисунок 504и Рисунок 505, а также нормативные расстояния между стоящими у рампы склада автомобилями принимаются по табл. 16.

 

Таблица 16

 

-----------------------+-----------------+---------------+--------

   Группа грузового    |      Зона B     |    Зона A     | Зона C

       комплекса       +--------+--------+-------+-------+--------

                       |   A    |B  при 2|  A    |  B    |   B

                       |    т   | т      |   т   |   т   |    т

                       |        |проездах|       |       |
-----------------------+--------+--------+-------+-------+--------

           1           |    2   |   3    |   4   |   5   |    6

-----------------------+--------+--------+-------+-------+--------

           I           |  4,43  |  18,5  |  4,2  | 16,0  |  10,0

           II          |  4,25  |  18,5  |  4,30 | 21,0  |  10,0

          III          |  4,25  |  18,5  |  4,30 | 21,0  |  10,0

 

10.10. Принципиальная схема грузового двора приведена на рис. 21.

 

Пособие по проектированию грузовых комплексов аэропортов (к ВНТП 5-85/МГА) (утв. МГА СССР 27.05.1986)

 

Рис. 21. Принципиальная схема грузового комплекса:

1 - административно-служебное здание; 2 - помещение

для хранения радиоактивных грузов; 3 - контейнерный склад;

4 - стеллажный склад (4а - склад отправления; 4б - склад

прибытия); 5 - склад опасных грузов; 6 - стоянки

автотранспорта; 9 - ограждение; 10 - озеленение;

A - зона служебно-технической территории со стороны

перрона; B - зона расстановки и маневрирования

автотранспорта со стороны города; C - зона проезда

служебного транспорта

 

11. ЭЛЕКТРОСНАБЖЕНИЕ, ЭЛЕКТРООБОРУДОВАНИЕ, ЭЛЕКТРООСВЕЩЕНИЕ

(к разделу 6 ВНТП 5-85/МГА)

 

11.1. Электроснабжение и электрооборудование грузовых комплексов должно соответствовать требованиям "Правил устройства электроустановок" (ПУЭ), "Правил технической эксплуатации электроустановок потребителей и правил техники безопасности при эксплуатации электроустановок потребителей" (ПТЭ и ПТБ).

11.2. Электроснабжение грузовых комплексов I и II групп должно осуществляться от двух внешних источников централизованного электроснабжения по двум кабельным линиям.

Электроснабжение грузовых комплексов III группы, а также групп А и Б - от одного.

11.3. Электроснабжение электроприемников в грузовых комплексах аэропортов производится по трем категориям надежности:

первая категория - противопожарные насосные установки, автоматическая пожарная и охранная сигнализация, аварийное, охранное освещение и светоограждение, средства связи и ЭВМ;

вторая категория - холодильные установки, средства механизации погрузочно-разгрузочных работ, технологическое оборудование мастерских, выпрямители для подзарядки аккумуляторов, оборудование для пищеблоков, внутреннее и наружное рабочее освещение и промышленное телевидение;

третья категория - электроприемники во вспомогательных и подсобных помещениях, не связанных с технологией производства.

11.4. При электроснабжении грузового комплекса от одного внешнего источника электроприемники первой категории должны обеспечиваться также электропитанием от аварийного (резервного) источника. При этом степень надежности электроснабжения электроприемников второй категории может быть снижена до третьей категории.

11.5. В качестве источников аварийного (резервного) электроснабжения могут использоваться:

дизель-электрические агрегаты, устанавливаемые в помещениях на территории грузового комплекса;

дизель-электрические агрегаты, устанавливаемые на ближайших к складу объектах аэропорта;

аккумуляторные батареи (на грузовых складах, где не предусматриваются средства пожаротушения с электроприводом, рассчитанным на питание от промышленной электроэнергии).

11.6. Трансформаторные подстанции (ТП) грузовых комплексов I и II групп должны размещаться в их зданиях или пристраиваться к ним. Электроснабжение грузовых комплексов III группы допускается обеспечивать от ТП других объектов. Размещение трансформаторов в подвальных и заглубленных помещениях не допускается. Уровень пола над фундаментом должен исключать попадание в ТП талых, паводковых и грунтовых вод.

11.7. Кабели и провода, прокладываемые к электроприемникам, средств механизации погрузочно-разгрузочных работ, должны быть защищены от механических повреждений.

11.8. В трансформаторных подстанциях грузовых комплексов, кроме силового и распределительного оборудования, следует предусматривать приборы учета расходуемой электроэнергии силовыми и осветительными потребителями.

11.9. Качество электрической энергии, подводимой к электроприемникам грузового комплекса, должно соответствовать требованиям ГОСТ 13109-80 "Электрическая энергия. Нормы качества электрической энергии у ее приемников, присоединяемых к электрическим сетям общего назначения".

11.10. В грузовых комплексах I, II и III групп следует предусматривать пункты (участки) для подзарядки аккумуляторов без съемки со средств механизации (электропогрузчиков, электрокар и т.п.). В пунктах подзарядки следует предусматривать:

помещение для зарядно-разрядных щитов и выпрямителей; количество и мощность выпрямителей должны обеспечивать в смену подзарядку аккумуляторов не менее 50 передвижных средств механизации склада;

помещения растворных для кислоты и щелочи площадью по 4 - 6 м2;

утепленное помещение гаражного типа (в северных и средней климатических зонах с длительными периодами температур воздуха ниже -20 °C), рассчитанное на размещение до 60% приписных средств механизации с аккумуляторным питанием для их подзарядки в течение смены.

В южных климатических зонах следует предусматривать навесы от солнечного перегрева аккумуляторов, рассчитываемые на размещение в них 50% средств механизации в смену для подзарядки аккумуляторов.

11.11. Помещения пунктов (участков) для подзарядки аккумуляторов на средствах механизации грузовых комплексов могут блокироваться с помещениями мастерских грузового комплекса для технического обслуживания и текущего ремонта средств механизации, а также с пунктом (участком) для подзарядки аккумуляторов средств перронной механизации (посадочные трапы, электропогрузчики, электробуксировщики и т.п.) в единый пункт при его расположении не далее 300 м от аэровокзала и грузового комплекса.

11.12. Формовку, сезонное техническое обслуживание, контрольные разряд-зарядки и профилактический ремонт аккумуляторов, снятых со средств механизации грузового комплекса, а также с перронных средств механизации, следует производить в общепортовой аккумуляторно-зарядной станции (АХ) отдела главного механика аэропорта.

11.13. В грузовых комплексах III группы, с учетом местных условий их размещения, допускается подзарядка аккумуляторов без съемки их со средств механизации. Формовку, сезонное техническое обслуживание, контрольные разряд-зарядки и профилактические ремонты аккумуляторов, снимаемых со средств механизации, следует выполнять в общепортовой АЗС отдела главного механика аэропорта.

11.14. Проектирование искусственного освещения в складских, производственных, административных, бытовых помещениях и на территории грузовых комплексов должно осуществляться в соответствии с "Правилами устройства электроустановок" (ПУЭ), СНиП II-4-79 "Естественное и искусственное освещение. Нормы проектирования" и требованиями ОСТ 5472003-82 "Искусственное освещение в эксплуатационных предприятиях ГА. Нормы и требования безопасности".

11.15. Светоограждение зданий и сооружений грузовых комплексов следует предусматривать в соответствии с требованиями "Воздушного кодекса Союза ССР", "Наставления по аэродромной службе в гражданской авиации СССР" (НАС ГА-86).

Питание заградительных огней должно обеспечиваться по отдельным фидерам, присоединенным не менее чем к двум фазам. Каждый огонь должен питаться от разных фаз. Для защиты от токов короткого замыкания должны предусматриваться предохранители или однополюсные автоматы.

11.16. Удельный расход электроэнергии на 1 т перерабатываемого груза и энерговооруженность на одного производственного работника следует принимать по табл. 17.

 

Таблица 17

 

----------------+------------------------+------------------------

 Группы грузовых|    Удельный расход     | Энерговооруженность на

   комплексов   | электроэнергии на 1 т  |одного производственного

                |перерабатываемого груза,|работника в максимально

                |        кВт.ч/т         |   загруженную смену,

                |                        |        кВт/чел.

----------------+------------------------+------------------------

        I       |       5,5 - 6,1        |       11,6 - 12,1

       II       |       3,6 - 4,6        |        9,9 - 12,8

       III      |       3,1 - 5,6        |           4,8

 

12. ТРЕБОВАНИЯ К ПОЖАРНОЙ БЕЗОПАСНОСТИ,

ВЗРЫВОБЕЗОПАСНОСТИ И ПОЖАРНОЙ СИГНАЛИЗАЦИИ

(к разделу 8 ВНТП 5-85/МГА)

 

12.1. В дополнение к ВНТП 5-85/МГА при проектировании грузовых комплексов необходимо руководствоваться правилами производства и приемки работ по автоматике, пожаротушению, пожарной и охранной сигнализации (ВСН-25, 67-85 и ВСН-25.09.68-85).

12.2. Помещение складской части здания должно отделяться от вспомогательных помещений, размещаемых в пристройках, противопожарной стеной второго типа по табл. 2 СНиП 2.01.02-85 "Противопожарные нормы".

12.3. Для освещения складов необходимо предусматривать пакетное остекление по периметру складской части здания или светоаэрационные фонари.

Ленточные светоаэрационные фонари и остекление могут быть использованы для дымоудаления, при этом должно обеспечиваться автоматическое открывание створок при срабатывании противопожарных систем.

12.4. Для складских помещений с высотным стеллажным хранением вытяжные шахты (люки) дымоудаления следует располагать над проходами между стеллажами.

12.5. Виды огнегасящего вещества для тушения необходимо выбирать с учетом обращаемых веществ и материалов на складе, а также согласно справочнику Н.В. Рябова "Пожарная опасность веществ и материалов, применяемых в химической промышленности" (М., "Химия", 1976).

12.6. Выбор видов пожарной сигнализации и огнетушащего состава систем автоматического пожаротушения производит технолог с учетом обращаемых веществ и материалов в данном производстве или помещении.

Автоматические пожарные извещатели делятся на следующие виды:

тепловые, реагирующие на повышение температуры;

дымовые, реагирующие на появление дыма;

извещатели пламени, реагирующие на оптическое излучение открытого пламени;

комбинированные, реагирующие не менее чем на два параметра пожара, чаще всего на тепло и дым.

При выборе технических средств автоматической пожарной сигнализации необходимо учитывать особенности объекта: степень пожароопасности, категорию производств, специфику технологического процесса, ценность оборудования, материалов, классификацию горючих материалов, а также технические характеристики аппаратуры и условия ее эксплуатации.

12.8. Станции пожарной сигнализации предназначены для приема сигналов от пожарных извещателей о возникновении пожара, контроля исправности линий связи и извещателей, включения установок автоматического пожаротушения, отключения вентиляции, передачи сигналов тревоги о пожаре в АСС аэропорта.

Кроме станций пожарной сигнализации, могут применяться также объектовые приемно-контрольные приборы, концентраторы и пульты систем централизованного наблюдения. При использовании для приема сигналов о пожаре концентраторов пожарные извещатели включаются в отдельный луч (номер) концентратора.

12.9. Станция пожарной сигнализации, как правило, должна обеспечивать электропитание пожарных извещателей.

12.10. Объектовые приемно-контрольные приборы, концентраторы, пульты систем централизованного наблюдения устанавливаются в контрольно-пропускном пункте (КПП) склада у дежурного вахтера.

12.11. Технические средства охранной и пожарной сигнализации необходимо выбирать в соответствии с номенклатурой, рекомендованной МГА 24 февраля 1984 г. N 38.2.4-57.

12.12. Оборудование объектов техническими средствами пожарной сигнализации производится с учетом особенностей каждого объекта, организации и режима работы, наличия, систем автоматического пожаротушения. Необходимость оборудования определяется согласно приложению 8 ВНТП 5-85/МГА.

В помещениях, оборудованных установками автоматического пожаротушения, автоматическая пожарная сигнализация не устанавливается.

12.13. Применение, размещение и установка пожарных извещателей производится в соответствии с проектом или типовыми проектными решениями и технологическими картами. Необходимость круглосуточной работы пожарной сигнализации определяется проектом или актом обследования.

12.14. Количество и размещение извещателей зависит от величины, формы, условий работы и назначения помещения, конструкций перекрытий и высоты потолка, наличия и рода вентиляции, загруженности помещения материалами, а также от вида, типа и чувствительности извещателей.

12.15. Извещатели обычного исполнения нельзя устанавливать в помещениях, в воздухе которых содержатся пары кислот и щелочей. В местах, где возможно механическое повреждение извещателей при эксплуатации, они снабжаются защитными устройствами.

12.16. На складах со сложными потолочными и стеклянными перекрытиями, где много световых фонарей, допускается установка извещателей на тросах. Трос должен проходить параллельно плоскости потолочного перекрытия на расстоянии не более 0,4 м от него.

12.17. В складах, где имеются высокие стеллажи или штабели различных предметов, верхние края которых отстоят от потолка не более чем на 0,6 м, извещатели должны устанавливаться в каждом из отсеков, образованных штабелями или стеллажами.

12.18. Извещатели, в зависимости от их типа и вида, должны устанавливаться в зоне наиболее вероятного загорания и в местах возможного скопления горячего воздуха и дыма, на пути следования конвективных потоков продуктов горения.

12.19. Во взрывоопасных помещениях возможна установка обычных тепловых извещателей, включаемых в шлейф искробезопасного прибора ИУС, который размещается вне взрывоопасных помещений.

12.20. Автоматические пожарные извещатели устанавливаются в закрытых помещениях, извещатели ручного действия как внутри, так и вне их.

12.21. Кнопочные извещатели ручного действия устанавливаются на высоте 1,5 м от уровня пола или земли. Внутри помещений извещатели, как правило, устанавливаются в коридорах, проходах на расстоянии не более 50 м, на площадках лестничных клеток, около выходных дверей по одному на каждом этаже.

12.22. Вне помещений извещатели устанавливаются на стенах зданий и в хорошо заметных местах на расстоянии не более 150 м друг от друга.

12.23. Помещения, в которых устанавливаются станции пожарной сигнализации, должны быть сухими, хорошо вентилируемыми, защищенными от проникновения пыли и газа, с достаточным естественным или искусственным освещением (не менее 75 лк). Кроме нормального рабочего освещения, необходимо иметь аварийное, которое должно обеспечивать освещенность на рабочих поверхностях не менее 10% от соответствующих норм рабочего освещения.

Помещения станций пожарной сигнализации не должны подвергаться вибрации и толчкам от работающего оборудования и проезжающего транспорта.

 

13. МЕТОДИКА ОПРЕДЕЛЕНИЯ ТЕХНИКО-ЭКОНОМИЧЕСКИХ ПОКАЗАТЕЛЕЙ

(к разделу 11 ВНТП 5-85/МГА)

 

13.1. Оценку эффективности проектных решений грузового комплекса и входящих в него основных складских зданий и сооружений следует определять по следующим основным технико-экономическим показателям:

удельная общая площадь зданий грузового комплекса на 1 т суточного грузооборота, м3/т;

удельный строительный объем зданий грузового комплекса на 1 т суточного грузооборота, м3/т;

электровооруженность труда одного работника грузового комплекса, занятого обработкой грузов, кВт/чел.;

уровень механизации процессов обработки грузов по грузовому комплексу, %;

степень автоматизации процессов обработки грузов по грузовому комплексу, %;

удельные капитальные вложения на 1 т годового грузооборота грузового комплекса, руб./т;

удельные эксплуатационные расходы на 1 т годового грузооборота грузового комплекса, руб./т;

производительность труда выработки на одного производственного рабочего, т/чел.;

стоимость строительства 1 м3 здания грузового склада, руб./м3.

13.2. Удельная общая площадь зданий грузового комплекса на 1 т к суточному грузообороту Рисунок 507определяется по формуле

 

Рисунок 508, (63)

 

где Рисунок 509- общая площадь зданий грузового комплекса, м2;

Рисунок 510- расчетный суточный грузооборот (емкость) зданий грузового комплекса, т.

13.3. Удельный строительный объем на 1 т суточного грузооборота Рисунок 511определяется как отношение общего строительного объема к суточному грузообороту складских зданий грузового комплекса:

 

Рисунок 512, (64)

 

где Рисунок 513- общий строительный объем всех зданий грузового комплекса, м3.

13.4. Электровооруженность труда одного работника грузового комплекса, занятого обработкой грузов Рисунок 514, определяется как отношение суммарной установленной электрической мощности и осветительных установок грузового комплекса к количеству работающих в максимальную смену

 

Рисунок 515, (65)

 

где Рисунок 516- суммарная установленная электрическая мощность силовых и осветительных установок грузового комплекса, кВт;

N - количество работающих в максимальную смену, занятых основными технологическими процессами обработки грузов, чел.

13.5. Уровень механизации для процесса обработки в целом по грузовому комплексу Рисунок 517определяется как сумма уровней механизации процессов обработки штучного и контейнеризированного груза

 

Рисунок 518, (66)

 

где Рисунок 519; Рисунок 520- коэффициенты, учитывающие соответственно долю штучного и контейнеризированного груза, в общем грузообороте грузового комплекса;

Рисунок 521; Рисунок 522- количество механизированных операций в процессе обработки соответственно штучного и контейнеризированного груза;

Рисунок 523; Рисунок 524- общее количество операций в процессе обработки соответственно штучного и контейнеризированного груза.

13.6. Уровень автоматизации процессов обработки грузов по грузовому комплексу Рисунок 525определяется как отношение количества автоматизированных операций к общему количеству операций по обработке грузов

 

Рисунок 526, (67)

 

где Рисунок 527- количество автоматизированных операций;

Рисунок 528- общее количество операций в процессе обработки грузов.

13.7. Удельные капитальные вложения в строительство грузового комплекса на 1 т годового грузооборота Рисунок 529определяются отношением общих капитальных вложений к годовому грузообороту с выделением удельных капитальных вложений на строительно-монтажные работы (СМР) и оборудование

 

Рисунок 530, (68)

 

где К - капитальные вложения, тыс. руб.;

Рисунок 531- годовой грузооборот, т/год.

13.8. Удельные эксплуатационные расходы по грузовому комплексу на 1 т годового грузооборота Рисунок 532определяются отношением годовых эксплуатационных расходов к годовому грузообороту

 

Рисунок 533, (69)

 

где Рисунок 534- годовая сумма эксплуатационных расходов, руб.

Удельные эксплуатационные расходы определяются по следующим элементам затрат:

заработная плата работников грузового комплекса с отчислениями на социальное страхование в размере 14% от фонда заработной платы;

амортизация зданий и оборудования грузового комплекса;

текущий ремонт зданий и оборудования;

расход электроэнергии.

13.9. Удельная заработная плата работников Рисунок 535рассчитывается с учетом производительности труда:

 

Рисунок 536, (70)

 

где Рисунок 537- нормативная заработная плата с отчислениями на социальное страхование, руб.;

0,8 - коэффициент, учитывающий опережающий рост производительности труда по сравнению с заработной платой;

Рисунок 538- производительность труда по проекту на одного работника, т;

Рисунок 539- нормативная производительность труда на одного работника, т.

13.10. Удельные амортизационные отчисления Рисунок 540и расходы на текущий ремонт по проекту Рисунок 541рассчитываются по формуле

 

Рисунок 542, (71)

 

где Рисунок 543- удельные капитальные вложения на 1 т годового грузооборота по проекту, руб.;

Рисунок 544- нормативные удельные капитальные вложения на 1 т годового грузооборота, руб.

13.11. Производительность труда Рисунок 545(выработка на одного производственного рабочего) определяется как отношение годового объема перегрузочных работ Рисунок 546к расчетной численности производственных рабочих по грузовому комплексу

 

Рисунок 547. (72)

 

13.12. Объем перегрузочных работ следует определять по основным положениям "Методики определения состояния и эффективности механизации погрузочно-разгрузочных и подъемно-транспортных работ в народном хозяйстве" (М., ВНИИПТМАШ, 1964).

 

Пособие по проектированию грузовых комплексов аэропортов (к ВНТП 5-85/МГА) (утв. МГА СССР 27.05.1986)

 

СКЛАД ЗАКОНОВ

 

 

  Яндекс цитирования